LEMON Manuals: Even more car manuals for everyone
Home >> Infiniti >> 2023 >> QX55 Essential >> Repair and Diagnosis >> Engine Performance >> Engine Control Systems >> Drive Mode System >> Basic Inspection >> Log-In Function >> Work Flow >> Overall Sequence

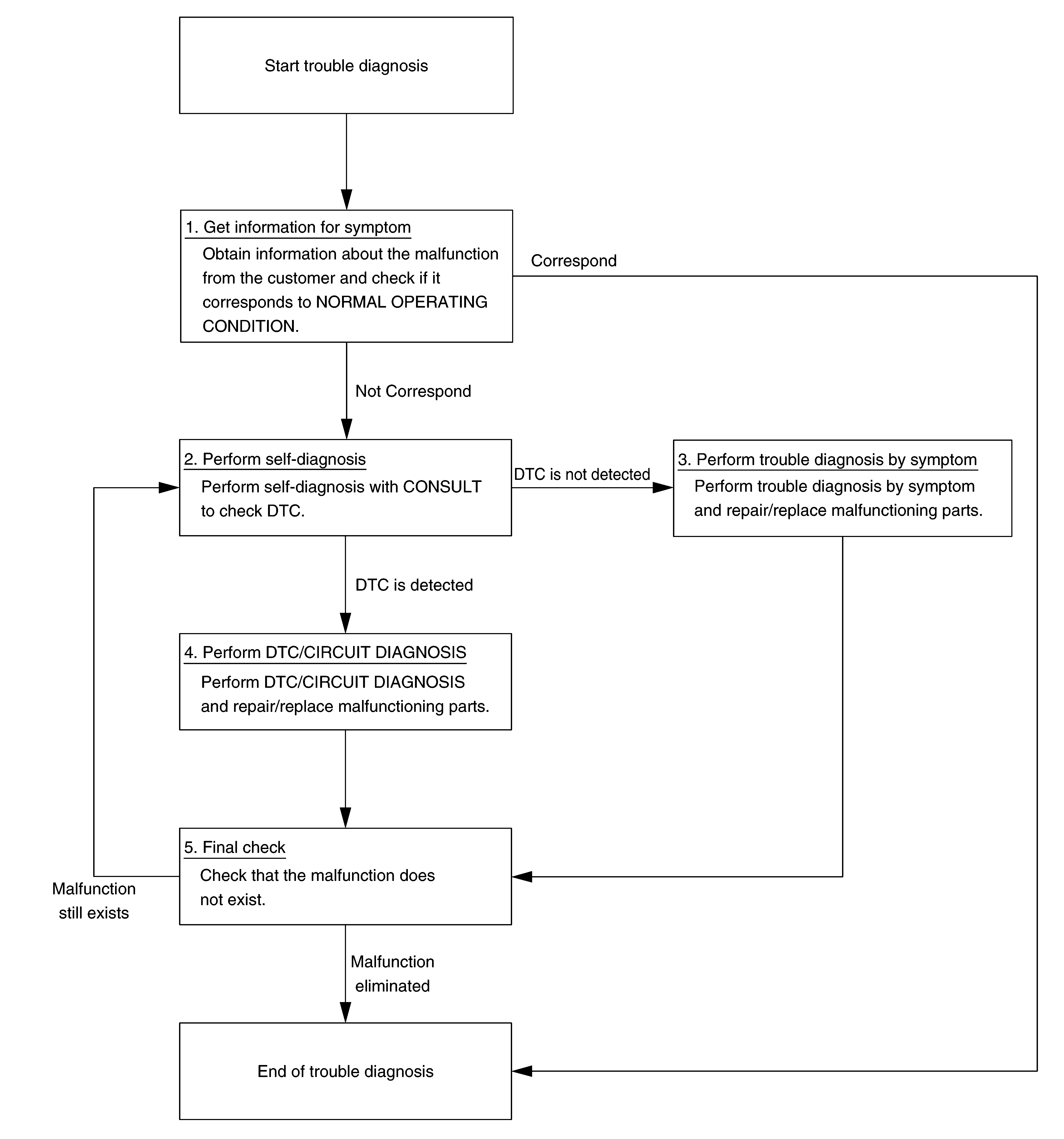
Overall Sequence

GNSDB23430Courtesy of NISSAN NORTH AMERICA, INC.