LEMON Manuals: Even more car manuals for everyone
Home >> Infiniti >> 2021 >> Q60 Luxe, AWD >> Repair and Diagnosis >> Engine Performance >> Engine Control Systems >> Drive Mode System (Diagnostics) >> Basic Inspection >> Log-In Function >> Work Flow >> Overall Sequence

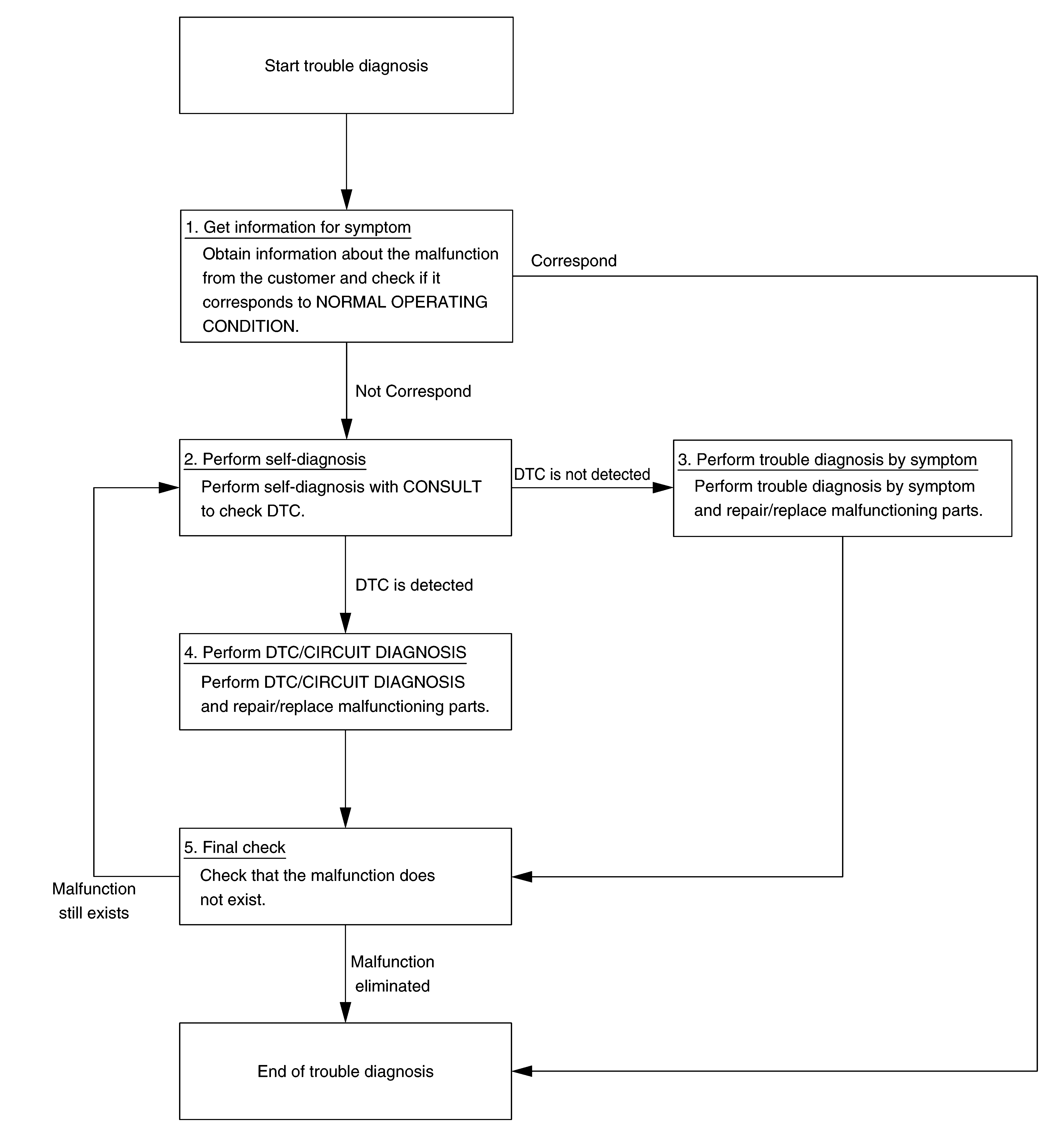
Overall Sequence

G09161993Courtesy of NISSAN NORTH AMERICA, INC.