LEMON Manuals: Even more car manuals for everyone
Home >> Infiniti >> 2013 >> M37 Base >> Repair and Diagnosis (Single Page) >> Accessories & Equipment >> Drivers Assistance Systems - ADAS >> Driver Assistance System (LDW & LDP) >> Basic Inspection >> Diagnosis And Repair Work Flow >> Work Flow >> Overall Sequence

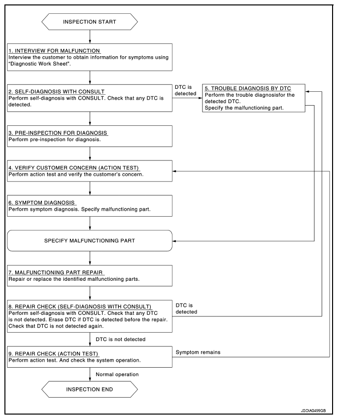
Overall Sequence

Fig 1: Diagnosis And Repair Work Flow Chart
G08884834Courtesy of NISSAN NORTH AMERICA, INC.