LEMON Manuals: Even more car manuals for everyone
Home >> Infiniti >> 2008 >> EX35 Base, RWD >> Repair and Diagnosis >> Engine Performance >> Engine Control Systems >> Engine Control System - Introduction >> Basic Inspection >> Diagnosis And Repair Workflow >> Work Flow >> Overall Sequence

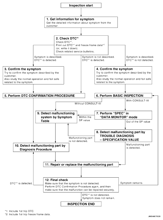
Overall Sequence

Fig 1: Diagnosis And Repair Workflow Chart
G04886354Courtesy of NISSAN MOTOR CO., U.S.A.