LEMON Manuals: Even more car manuals for everyone
Home >> Infiniti >> 2004 >> M45 >> Repair and Diagnosis >> Engine Performance >> Engine Control System >> Trouble Diagnosis >> Consult-II Function >> Data Monitor Mode >> Monitored Item

Monitored Item

Fig 1: Identifying Data Monitor Mode Information (1 Of 4)
G00795604Courtesy of NISSAN MOTOR CO., U.S.A.
Fig 2: Identifying Data Monitor Mode Information (2 Of 4)
G00795605Courtesy of NISSAN MOTOR CO., U.S.A.
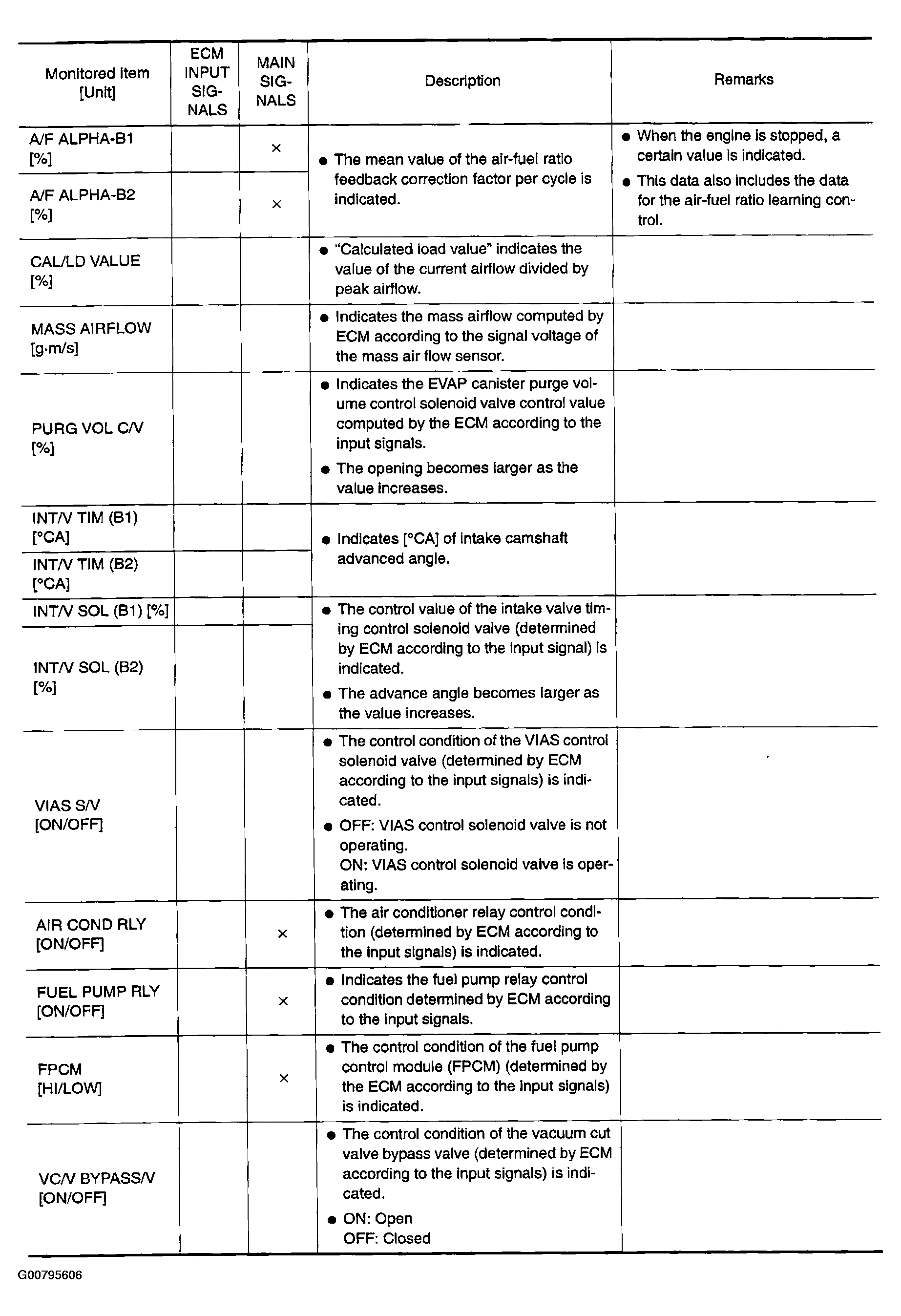
Fig 3: Identifying Data Monitor Mode Information (3 Of 4)
G00795606Courtesy of NISSAN MOTOR CO., U.S.A.
Fig 4: Identifying Data Monitor Mode Information (4 Of 4)
G00795607Courtesy of NISSAN MOTOR CO., U.S.A.
NOTE: Any monitored item that does not match the vehicle being diagnosed is deleted from the display automatically.