LEMON Manuals: Even more car manuals for everyone
Home >> Infiniti >> 2004 >> I35 >> Repair and Diagnosis >> Engine Performance >> System >> Engine Control System >> Trouble Diagnosis - Index >> Alphabetical Index

Alphabetical Index

NOTE: If DTC U1000 or U1001 is displayed with other DTC, first perform the trouble diagnosis for DTC U1000, U1001. Refer to DTC U1000, U1001 CAN COMMUNICATION LINE  .
Fig 1: Trouble Diagnosis Index (1 Of 4)
G00786264Courtesy of NISSAN MOTOR CO., U.S.A.
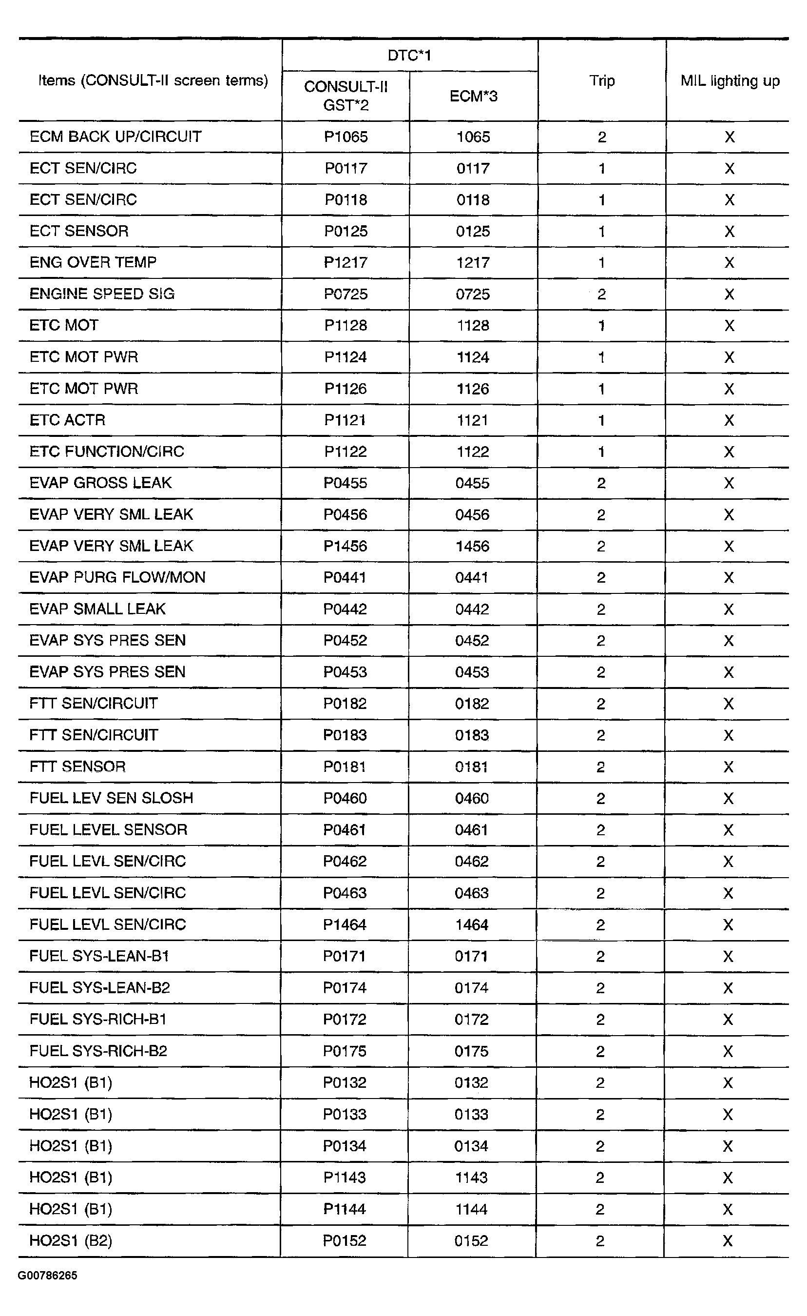
Fig 2: Trouble Diagnosis Index (2 Of 4)
G00786265Courtesy of NISSAN MOTOR CO., U.S.A.
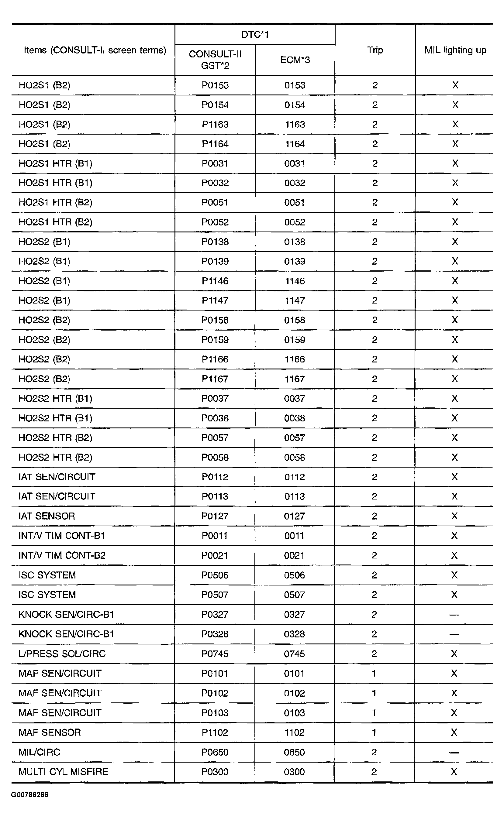
Fig 3: Trouble Diagnosis Index (3 Of 4)
G00786266Courtesy of NISSAN MOTOR CO., U.S.A.
Fig 4: Trouble Diagnosis Index (4 Of 4)
G00786267Courtesy of NISSAN MOTOR CO., U.S.A.