LEMON Manuals: Even more car manuals for everyone
Home >> Infiniti >> 2004 >> FX35 AWD >> Repair and Diagnosis >> Engine Performance >> Engine Control System >> Index For DTC >> Alphabetical Index

Alphabetical Index

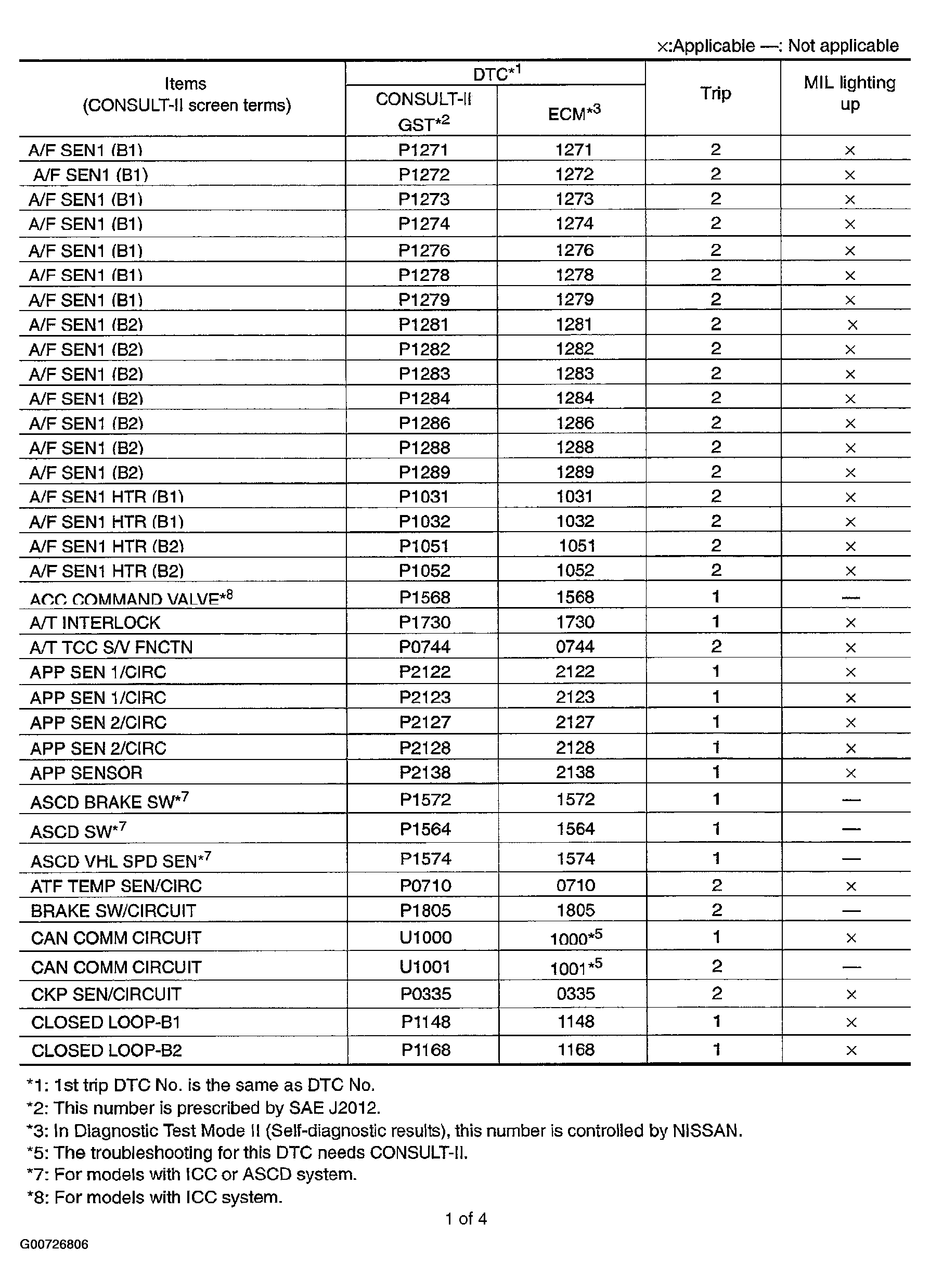
NOTE: If DTC U1000 or U1001 is displayed with other DTC, first perform the trouble diagnosis for DTC U1000, U1001. Refer to DTC U1000, U1001 CAN COMMUNICATION LINE .
Fig 1: Alphabetical Index Of DTC's (1 Of 4)
G00726806Courtesy of NISSAN MOTOR CO., U.S.A.
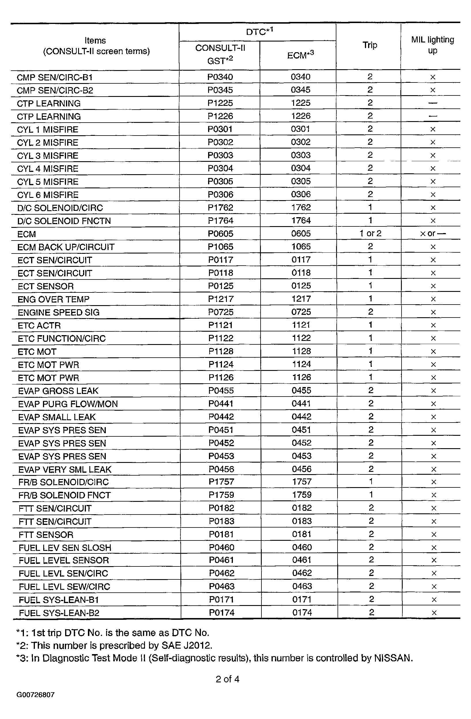
Fig 2: Alphabetical Index Of DTC's (2 Of 4)
G00726807Courtesy of NISSAN MOTOR CO., U.S.A.
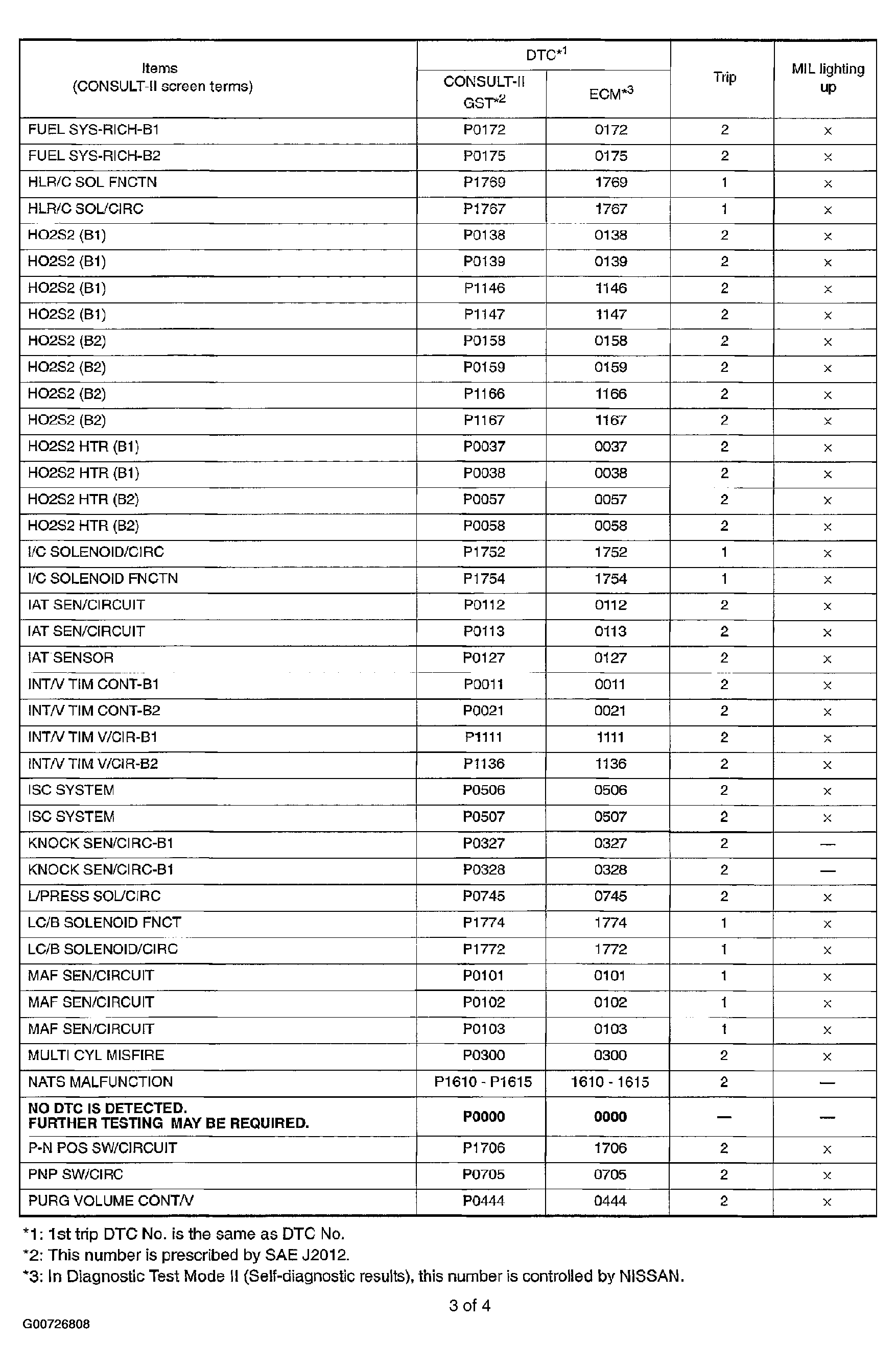
Fig 3: Alphabetical Index Of DTC's (3 Of 4)
G00726808Courtesy of NISSAN MOTOR CO., U.S.A.
Fig 4: Alphabetical Index Of DTC's (4 Of 4)
G00726809Courtesy of NISSAN MOTOR CO., U.S.A.