LEMON Manuals: Even more car manuals for everyone
Home >> Infiniti >> 2004 >> FX35 AWD >> Repair and Diagnosis >> Engine Performance >> Engine Control System >> Generic Scan Tool (GST) Function >> Description

Generic Scan Tool (GST) Function: Description

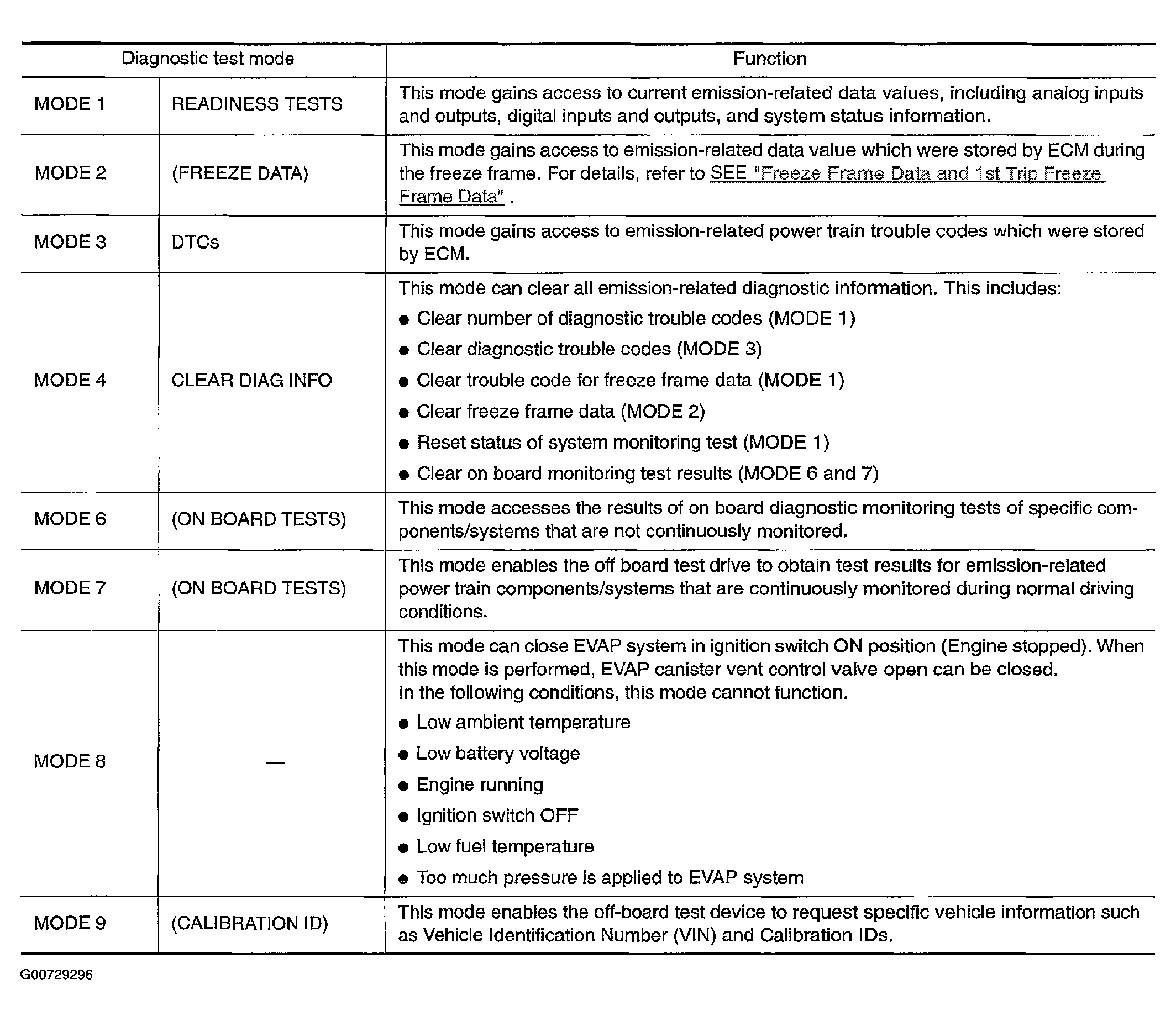
Generic Scan Tool (OBDII scan tool) complying with SAE J1978 has 8 different functions explained below.

ISO9141 is used as the protocol.

The name GST or Generic Scan Tool is used in this service manual.

Fig 1: Identifying Generic Scan Tool Diagnostic Test Modes
G00729296Courtesy of NISSAN MOTOR CO., U.S.A.