LEMON Manuals: Even more car manuals for everyone
Home >> Infiniti >> 1996 >> Q45 Base >> Repair and Diagnosis >> Body & Frame >> Body, Cab Control Systems >> Multiplex Control System >> System Tests >> NISSAN Consult Diagnostics >> Wake-Up Mode Diagnostics

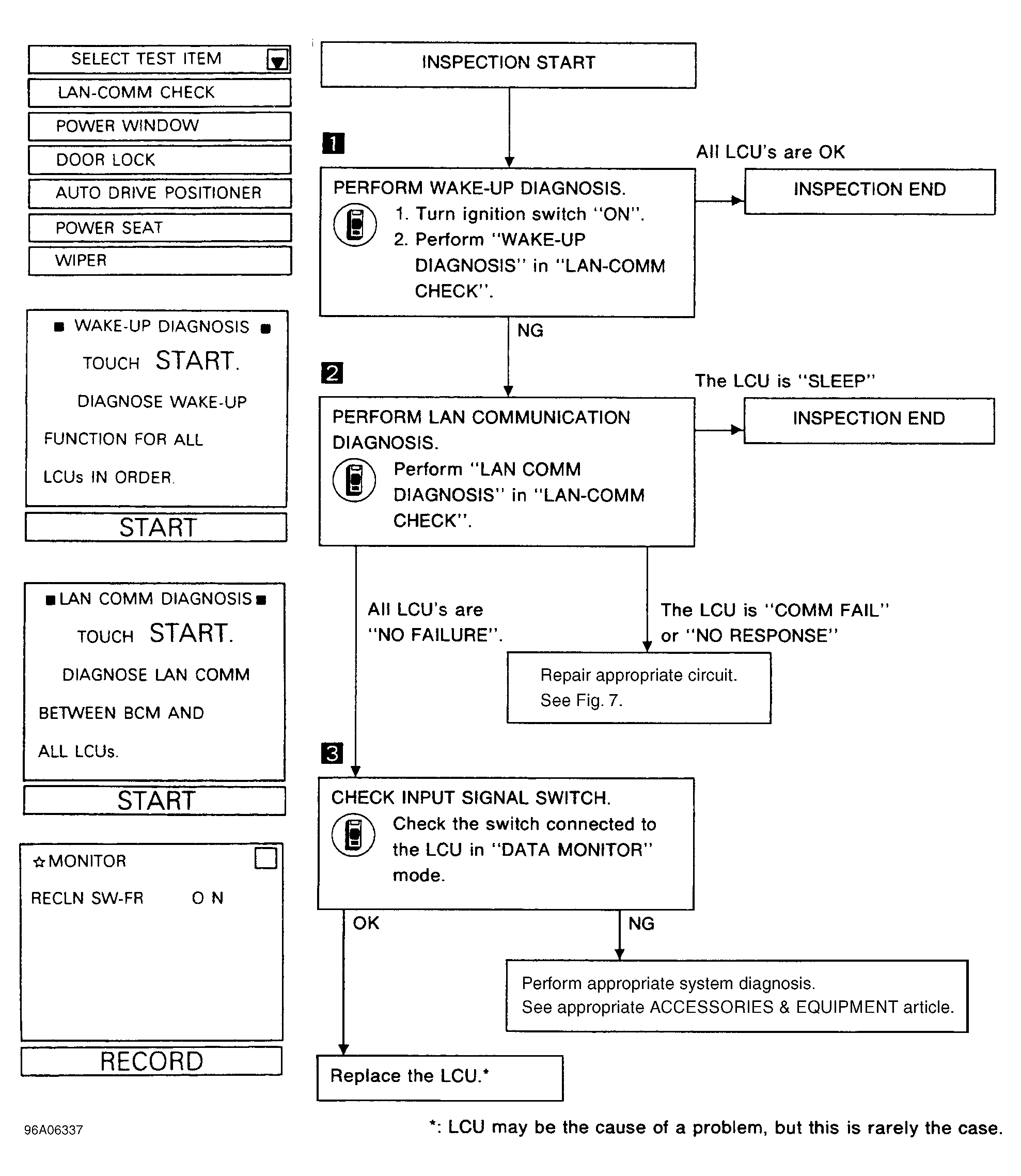
Wake-Up Mode Diagnostics

This mode checks if the respective LCU's are appropriately shifted to wake-up mode when conditions call for such action. To perform wake-up diagnostics, enter LAN system diagnostics. See ENTERING LAN SYSTEM DIAGNOSTICS (above). Enter WAKE-UP DIAGNOSIS mode and perform diagnostic tests. See WAKE-UP MODE DIAGNOSTICS  chart under DIAGNOSTIC CHARTS. See Figure .