LEMON Manuals: Even more car manuals for everyone
Home >> Geo >> 1994 >> Prizm Base, Standard >> Repair and Diagnosis >> Engine Performance >> System >> Engine Controls - Tests W/Codes >> Diagnostic Code Charts (PRIZM) >> Code 31 (PRIZM) - Manifold Absolute Pressure Sensor, Open Or Shorted Circuit >> Diagnostic Aids

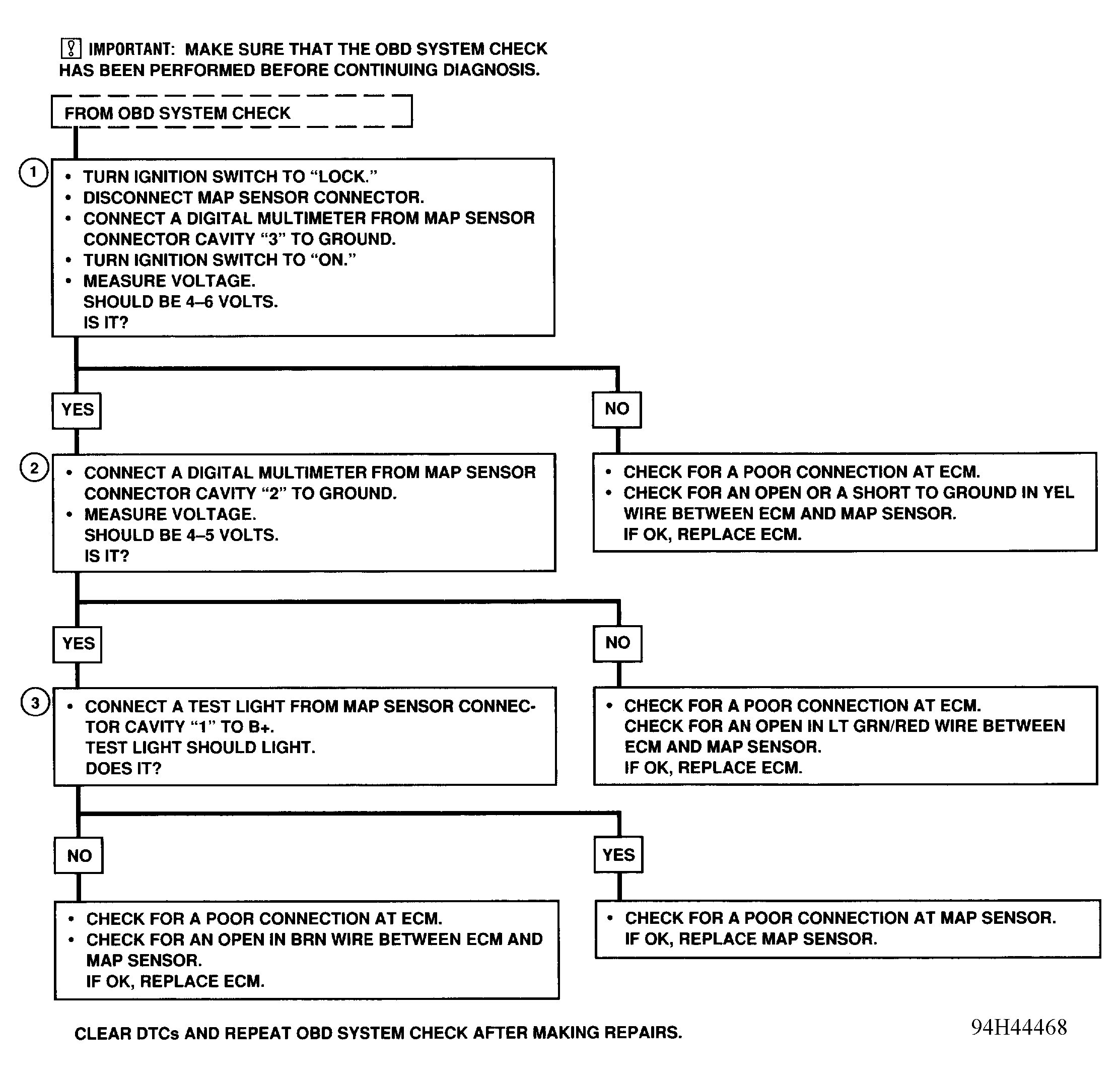
Diagnostic Aids

If Codes 22, 24 and 41 are also set, problem is open in sensor ground circuit. An intermittent condition may be caused by poor connection, rubbed-through insulation, or a broken wire inside insulation. Check ECM harness connectors for backed-out terminals, improper mating, broken locks, improperly formed or damaged terminals, and poor terminal-to-wire connections before component replacement.

Fig 1: CODE 31 - Schematic (Prizm) Manifold Absolute Pressure Sensor, Open Or Shorted Circuit
G93B78825
Fig 2: CODE 31 - Flow Chart (Prizm) Manifold Absolute Pressure Sensor, Open Or Shorted Circuit
G94H44468