LEMON Manuals: Even more car manuals for everyone
Home >> Geo >> 1994 >> Metro Base, 2D Hatchback, Automatic >> Repair and Diagnosis >> Engine Performance >> System >> Engine Controls - Basic Testing >> Diagnostic Charts - Upgraded EMMISSIONS >> Chart A2-5, Fuel Injector Circuit Check (Engine No-Start) >> Diagnostic Aids

Diagnostic Aids

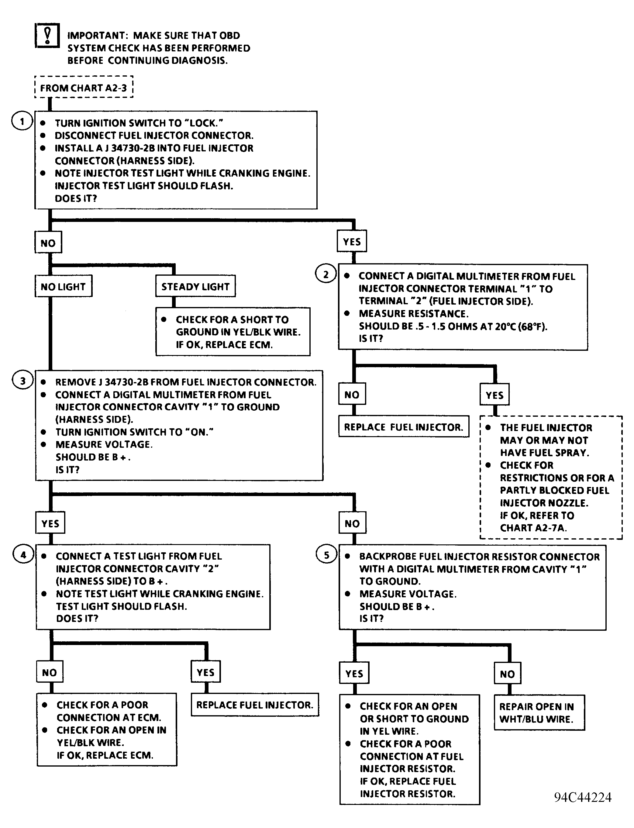
Fuel spray may exist at fuel injector, but it may not be enough to start engine. If both fuel injector and circuit are okay, fuel injector nozzle may be partly blocked.

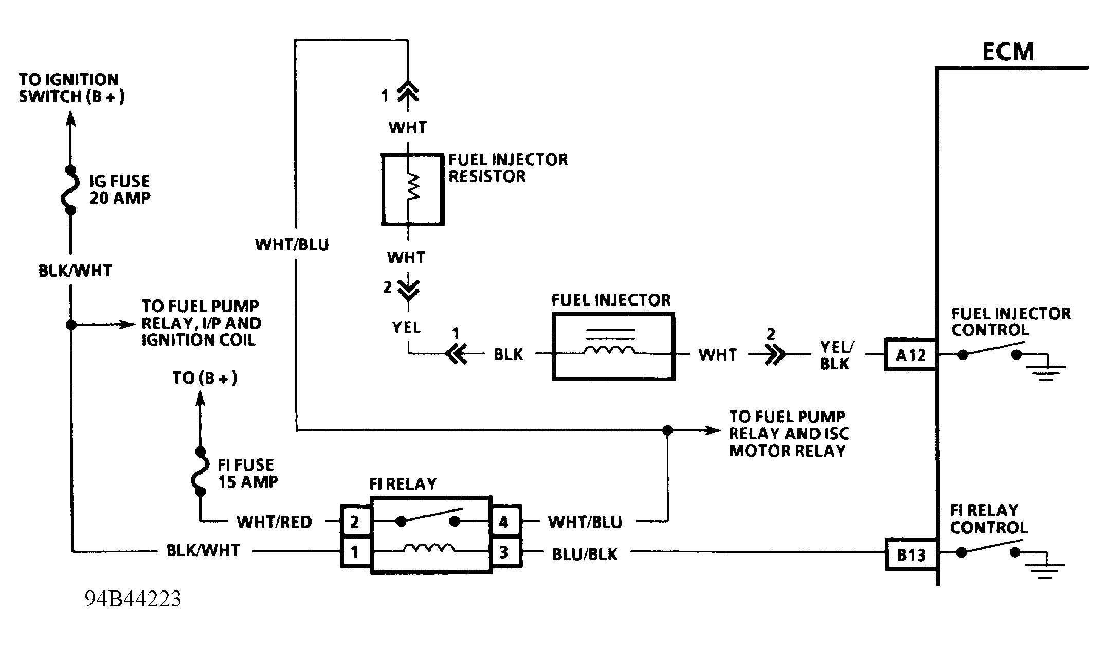
Fig 1: Chart A2-5 Schematic - Upgraded Emissions Fuel Injector Circuit Check - Engine No-Start
G94B44223
Fig 2: Chart A2-5 Flow Chart - Upgraded Emissions Fuel Injector Circuit Check - Engine No-Start
G94C44224