LEMON Manuals: Even more car manuals for everyone
Home >> Geo >> 1993 >> Tracker Base, RWD >> Repair and Diagnosis >> Engine Performance >> System >> Engine Controls - Tests W/Codes >> Diagnostic Code Charts >> Code 24, Vehicle Speed Sensor (VSS) Circuit >> Diagnostic Aids

Diagnostic Aids

If speedometer cable is binding, Code 24 can be set. Ensure that speedometer cable is free from restrictions and has a secure connection to instrument cluster. If problem is intermittent, refer to TESTS W/O CODES article in this section.

Fig 1: Code 24 - Schematic Vehicle Speed Sensor Circuit
G92G26928
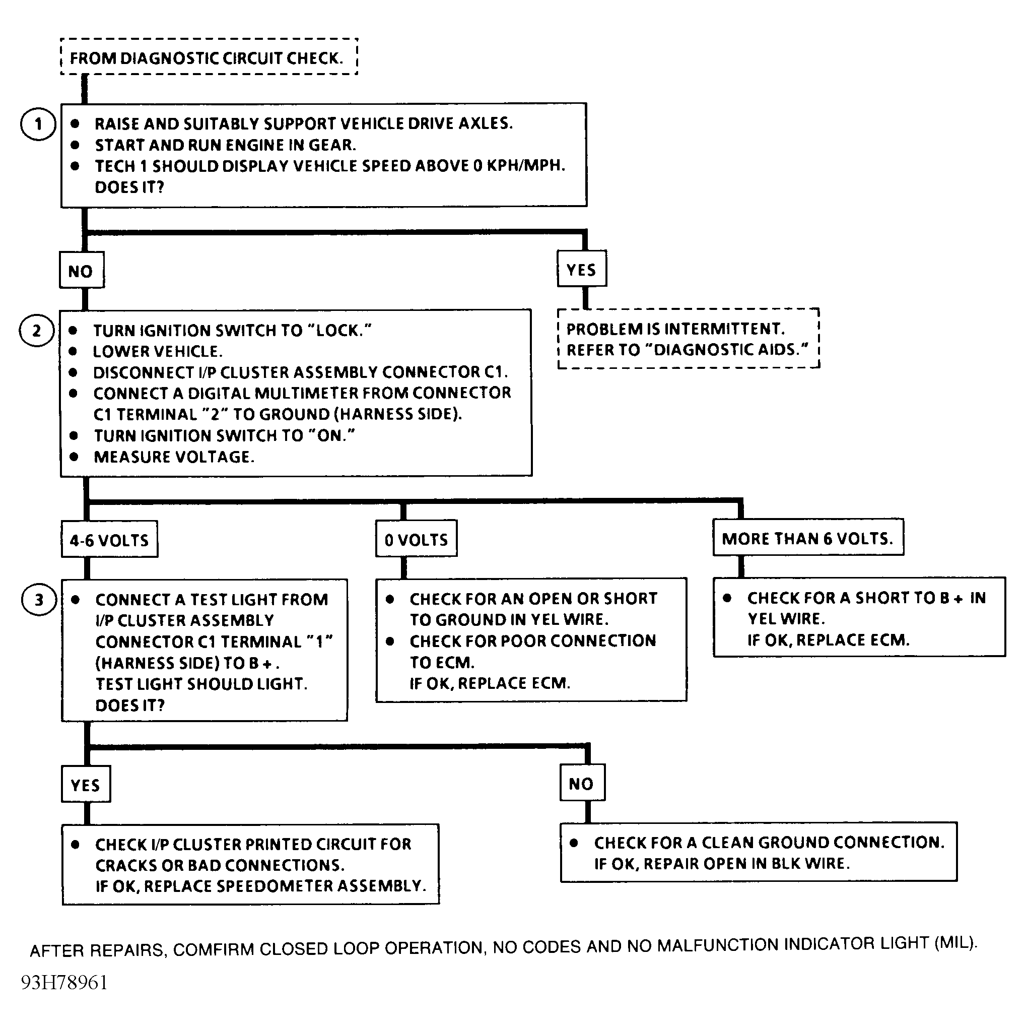
Fig 2: Code 24 - Flow Chart Vehicle Speed Sensor Circuit
G93H78961