LEMON Manuals: Even more car manuals for everyone
Home >> Geo >> 1993 >> Tracker Base, RWD >> Repair and Diagnosis >> Engine Performance >> System >> Engine Controls - Tests W/Codes >> Diagnostic Code Charts >> Code 23, IAT Sensor Circuit, Low Temperature Indicated >> Diagnostic Aids

Diagnostic Aids

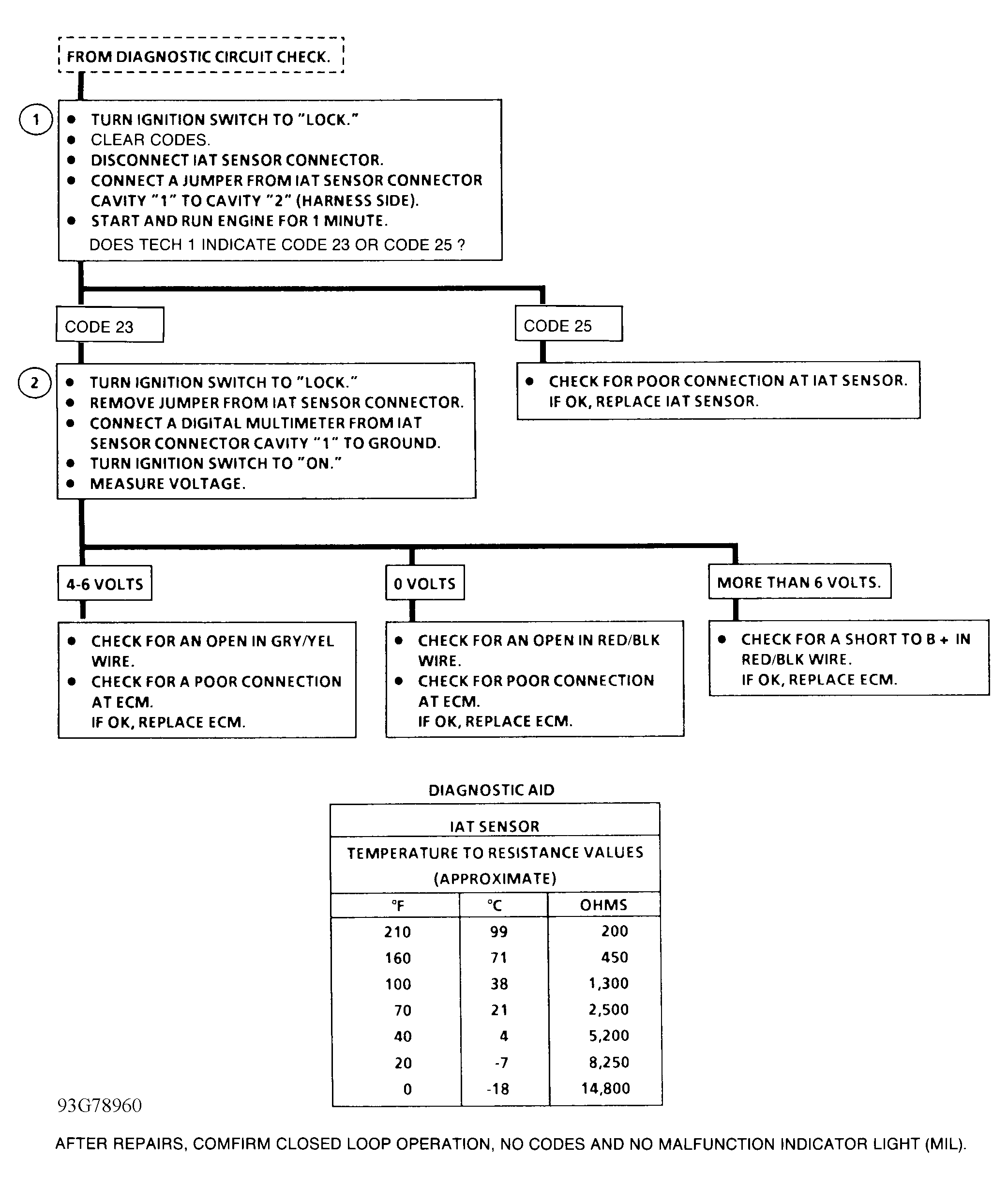
Codes 21 and 23 stored at the same time could be the result of an open in Gray/Yellow wire.

When replacing IAT sensor, check TEMPERATURE TO RESISTANCE VALUES table. A "shifted" sensor could result in poor driveability complaints.

Fig 1: Code 23 - Schematic Intake Air temperature Sensor Circuit, Low Temp. Indicated
G92E26926
Fig 2: Code 23 - Flow Chart Intake Air temperature Sensor Circuit, Low Temp. Indicated
G93G78960