LEMON Manuals: Even more car manuals for everyone
Home >> Geo >> 1993 >> Tracker Base, RWD >> Repair and Diagnosis >> Engine Performance >> System >> Engine Controls - Tests W/Codes >> Diagnostic Code Charts >> Code 14, ECT Sensor Circuit, Low Temperature Indicated >> Diagnostic Aids

Diagnostic Aids

After engine is started, temperature should rise steadily to about 203°F (95°C) and then level off when thermostat opens.

If Codes 14 and 21 are stored at same time, an open could exist in Gray/Yellow wire.

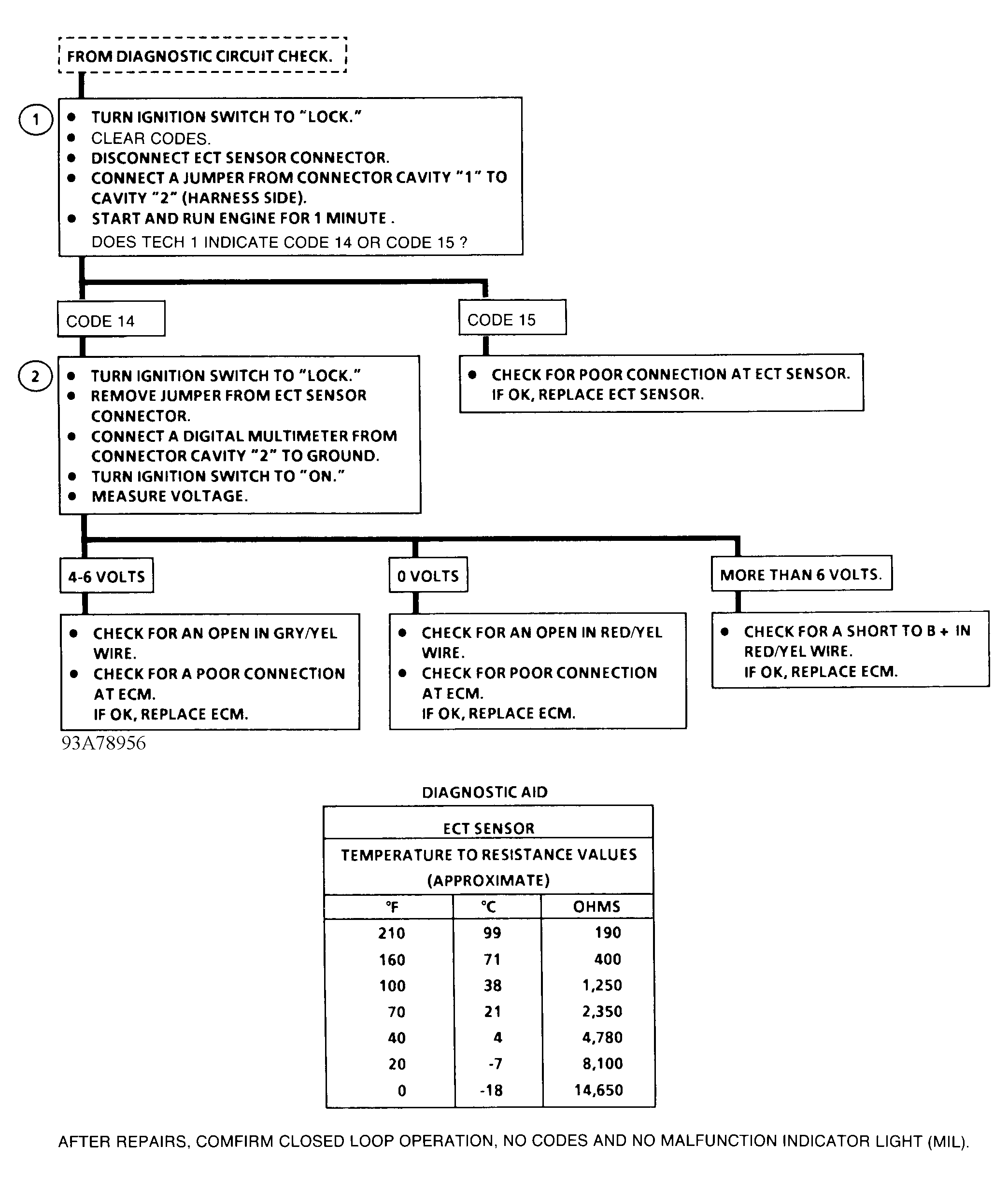
When replacing ECT sensor, check TEMPERATURE TO RESISTANCE VALUES table. A "shifted" sensor could result in poor driveability complaints.

Fig 1: Code 14 - Schematic Engine Coolant Temperature Sensor Circuit, Low Temp. Indicated
G93J78955
Fig 2: Code 14 - Flow Chart Engine Coolant Temperature Sensor Circuit, Low Temp. Indicated
G93A78956