LEMON Manuals: Even more car manuals for everyone
Home >> Geo >> 1993 >> Storm Base, Standard >> Repair and Diagnosis >> Engine Performance >> System >> Engine Controls - Tests W/Codes >> Diagnostic Code Charts >> Code 42, Ignition Control (Ic) Circuit Error

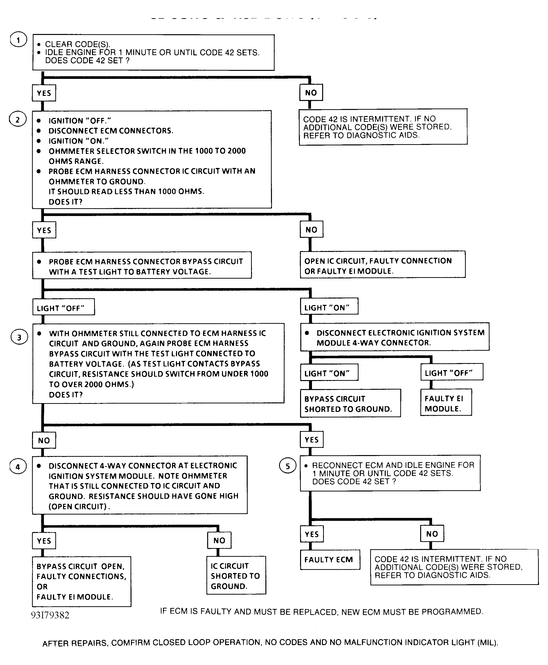
Code 42, Ignition Control (Ic) Circuit Error

When engine is cranking, Distributor Ignition (DI) module sends a reference signal on Yellow/Red wire to ECM. When engine speed is less than 400 RPM, DI module controls ignition timing. When engine speed is greater than 400 RPM, ECM applies 5 volts to by-pass line, switching ignition timing control over to ECM.

When system is running on DI module (no voltage on by-pass line), DI module grounds Ignition Control (IC) circuit. ECM expects to sense no voltage on IC line during this condition. If ECM senses a voltage signal, it sets Code 42 and will not go into IC mode.

When RPM for IC is reached (about 400 RPM), voltage is applied to by-pass line. IC should no longer be grounded in DI module, thus IC voltage should be varying. If by-pass line is open or grounded, DI module will not switch to IC mode. IC voltage would be low and Code 42 will set. If IC line is grounded, DI module will switch to IC, but because line is grounded, there will be no IC signal and Code 42 will set.

NOTE: Test numbers refer to test numbers on diagnostic chart.
  1. Code 42 indicates ECM has detected an open or short to ground in IC or by-pass circuits. Confirms Code 42 and that fault causing code is present.
  2. Checks for normal IC ground path through DI module. An IC circuit wire (Yellow wire) shorted to ground will also read less than 500 ohms.
  3. As test light voltage touches by-pass circuit wire (Yellow/Green wire), DI module should switch, causing an overrange if ohmmeter is in 1000-2000 ohm scale. Setting ohmmeter in 10,000-20,000 ohms scale will give a reading of more than 5000 ohms. What is important is that DI module switches.
  4. If DI module does not switch, this checks for short to ground in IC circuit wire (Yellow wire), open in by-pass circuit wire (Yellow/Green wire), faulty DI module connection or faulty DI module.
  5. Confirms Code 42 is caused by a faulty ECM, and not by an intermittent problem in Yellow wire or Yellow/Green wire.
Fig 1: Code 42 - Schematic (All Models) MAP Sensor Circuit, Signal Voltage High/Low - Low/High Vacuum
G93H79381
Fig 2: Code 42 - Flow Chart (1 Of 2) (All Models) MAP Sensor Circuit, Signal Voltage High/Low - Low/High Vacuum
G93I79382