LEMON Manuals: Even more car manuals for everyone
Home >> Geo >> 1993 >> Storm Base, Standard >> Repair and Diagnosis >> Engine Performance >> System >> Engine Controls - Basic Testing >> Fuel System >> Fuel Pressure

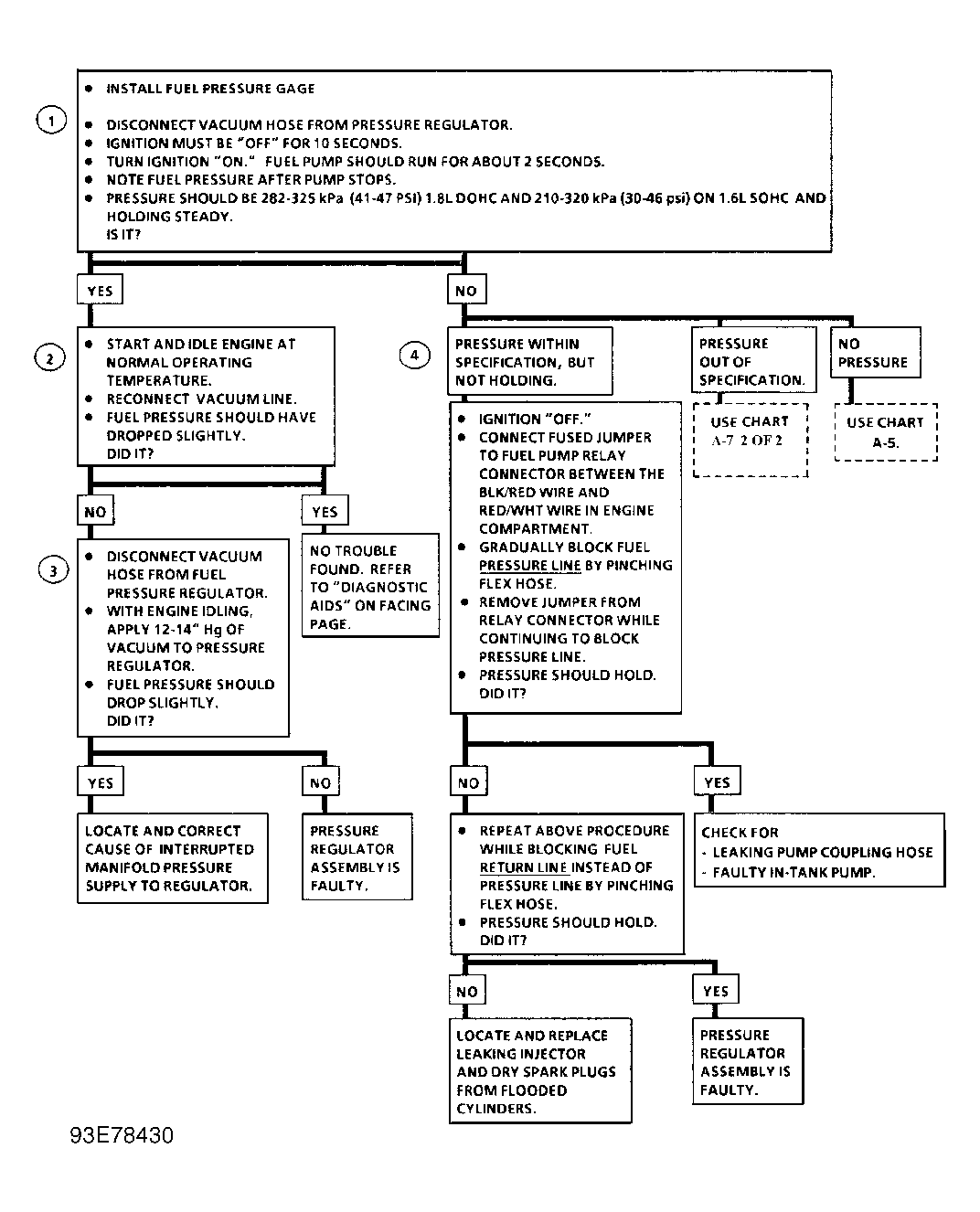
Fuel Pressure

NOTE: For fuel pump specifications, see FUEL PUMP PERFORMANCE  table.
  1. Release fuel pressure. See FUEL PRESSURE RELEASE  . Disconnect negative battery cable. Disconnect fuel line at fuel filter located below brake booster in engine compartment.
  2. Install Adapter (J-235957-10) between fuel line and fuel filter. Install Fuel Pressure Gauge (J-34703-1) on adapter. Disconnect vacuum hose from pressure regulator. Connect negative battery cable. Ensure ignition has been off for at least 10 seconds.
  3. Turn ignition on, and check fuel pressure. See Figure , Figure , and Figure . Release fuel pressure. Remove fuel pressure gauge. Install fuel line at fuel filter, and tighten it to 25 ft. lbs. (34 N.m).
FUEL PUMP PERFORMANCE

Application Pressure: psi (kg/cm2 )
Storm Except GSi (1) 30-46 (2.1-3.2)
Storm GSi (1) 41-47 (2.9-3.3)
(1) With ignition on, engine off, and pressure regulator vacuum line disconnected and plugged.