LEMON Manuals: Even more car manuals for everyone
Home >> Geo >> 1993 >> Prizm Base, Standard >> Repair and Diagnosis >> Engine Performance >> System >> Engine Controls - Tests W/Codes >> DIAGNOSTIC CODE CHARTS (EXCEPT LSi) >> Code 24, IAT Sensor Circuit, Open Or Shorted Circuit >> Diagnostic Aids

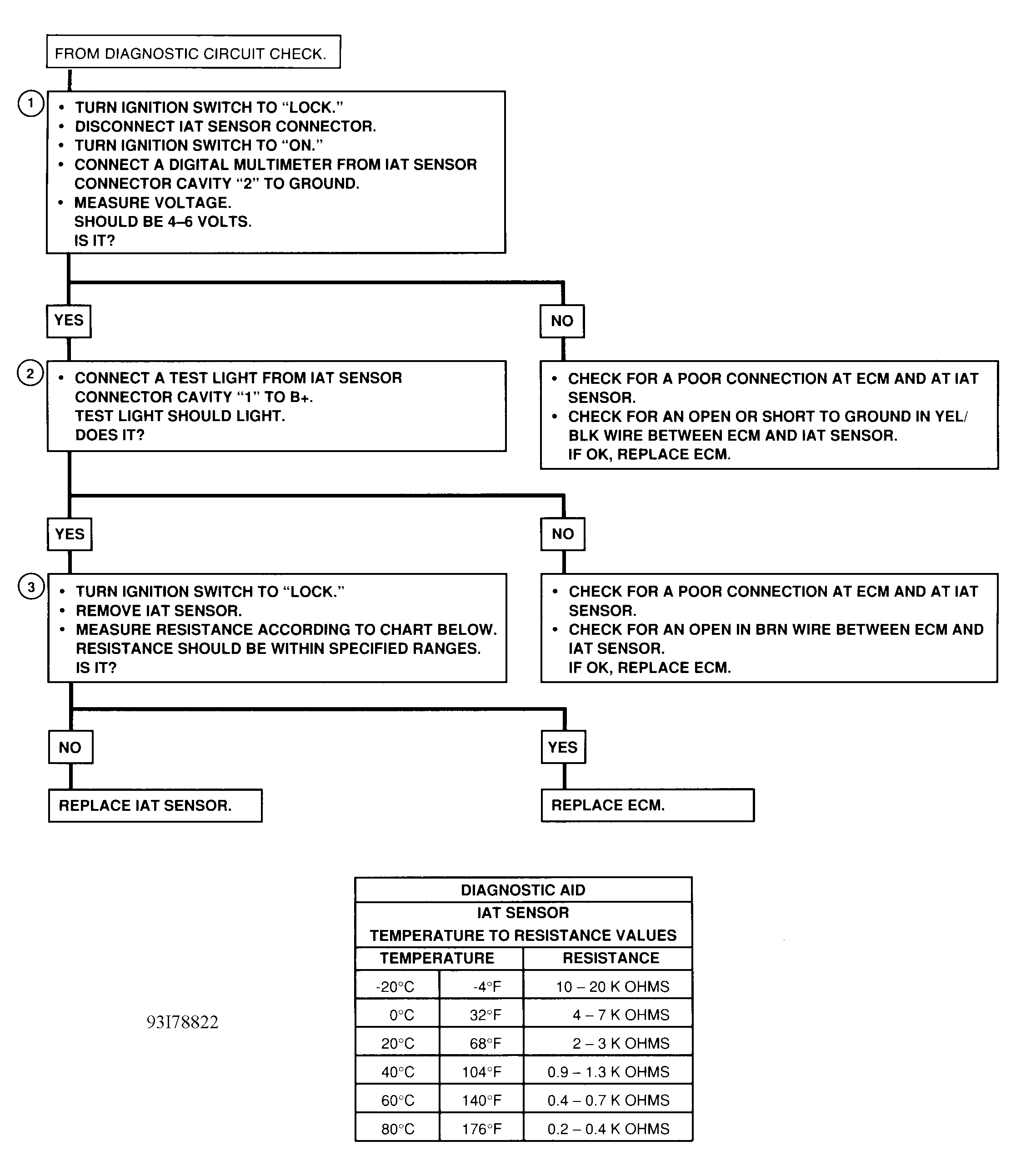
Diagnostic Aids

When replacing IAT sensor, check TEMPERATURE TO RESISTANCE VALUES table. A "shifted" sensor could result in poor driveability complaints. If Codes 22, 31 and 41 are also set, problem is open in sensor ground circuit.

An intermittent condition may be caused by poor connection, rubbed-through insulation, or a broken wire inside insulation. Check ECM harness connectors for backed-out, improperly mated, broken locks, improperly formed, or damaged terminals, and poor terminal-to-wire connections before component replacement.

Fig 1: Code 24 Schematic (Except LSi) Intake Air Temperature Sensor Circuit, Open Or Shorted Circuit
G93H78821
Fig 2: Code 24 Flow Chart (Except LSi) Intake Air Temperature Sensor Circuit, Open Or Shorted Circuit
G93I78822