LEMON Manuals: Even more car manuals for everyone
Home >> Geo >> 1993 >> Prizm Base, Automatic >> Repair and Diagnosis >> Engine Performance >> System >> Engine Controls - Tests W/Codes >> DIAGNOSTIC CODE CHARTS (EXCEPT LSi) >> Code 14, Ignition Signal Circuit, No Signal >> Diagnostic Aids

Diagnostic Aids

An intermittent condition may be caused by poor connection, rubbed-through insulation, or a broken wire inside insulation. Check ECM harness connectors for backed-out, improperly mated, broken locks, improperly formed, or damaged terminals, and poor terminal-to-wire connections before component replacement.

Fig 1: Code 14 Schematic (Except LSi) Ignition Signal Circuit, No Signal
G93G78812
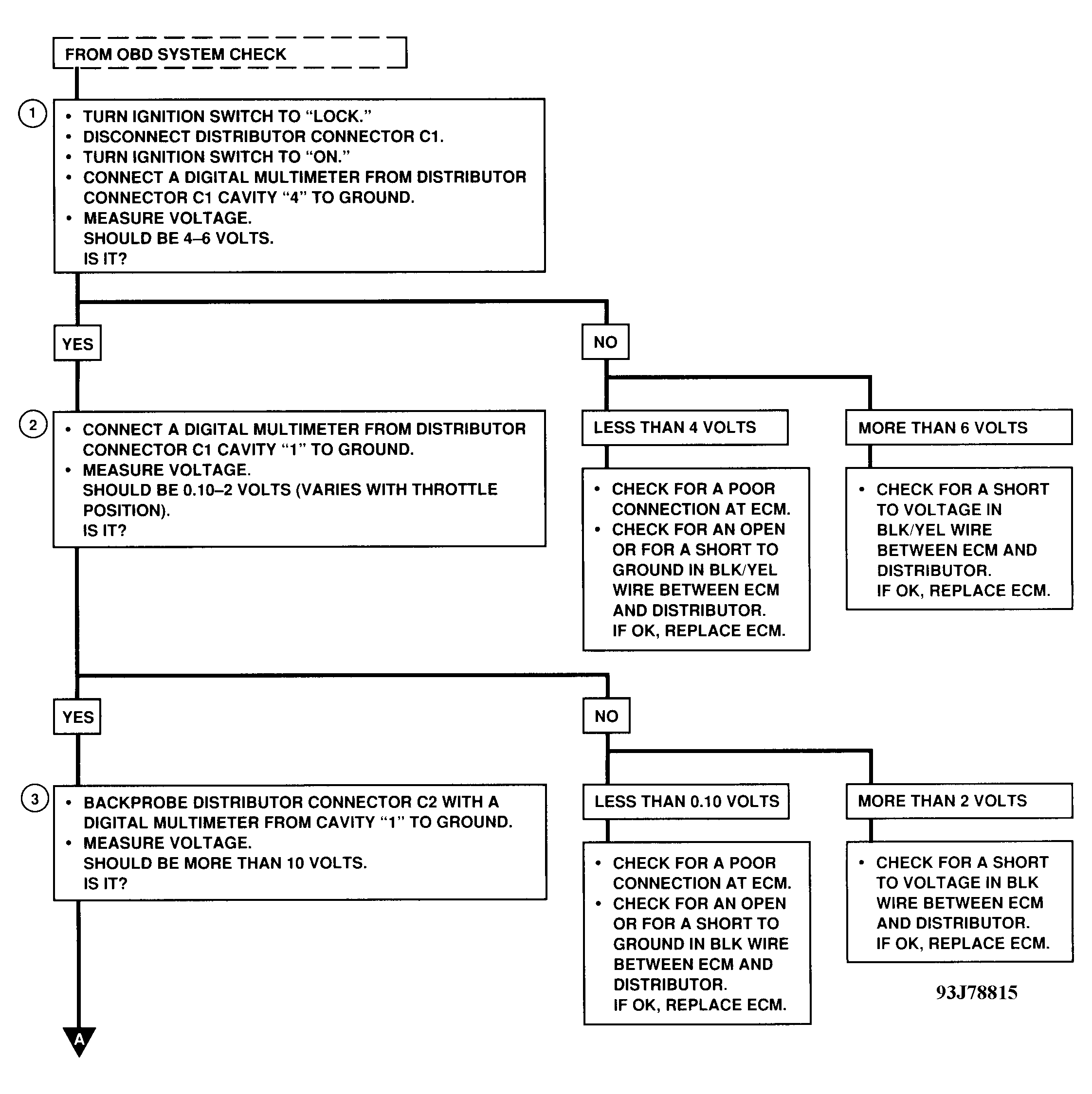
Fig 2: Code 14 Flow Chart (1 Of 2) (Except LSi) Ignition Signal Circuit, No Signal
G93J78815
Fig 3: Code 14 Flow Chart (2 Of 2) (Except LSi) Ignition Signal Circuit, No Signal
G93A78816