LEMON Manuals: Even more car manuals for everyone
Home >> Geo >> 1993 >> Metro XFi >> Repair and Diagnosis >> Engine Performance >> System >> Engine Controls - Tests W/Codes >> Diagnostic Code Charts >> Code 23, IAT Sensor Circuit, Low Temperature Indicate >> Diagnostic Aids

Diagnostic Aids

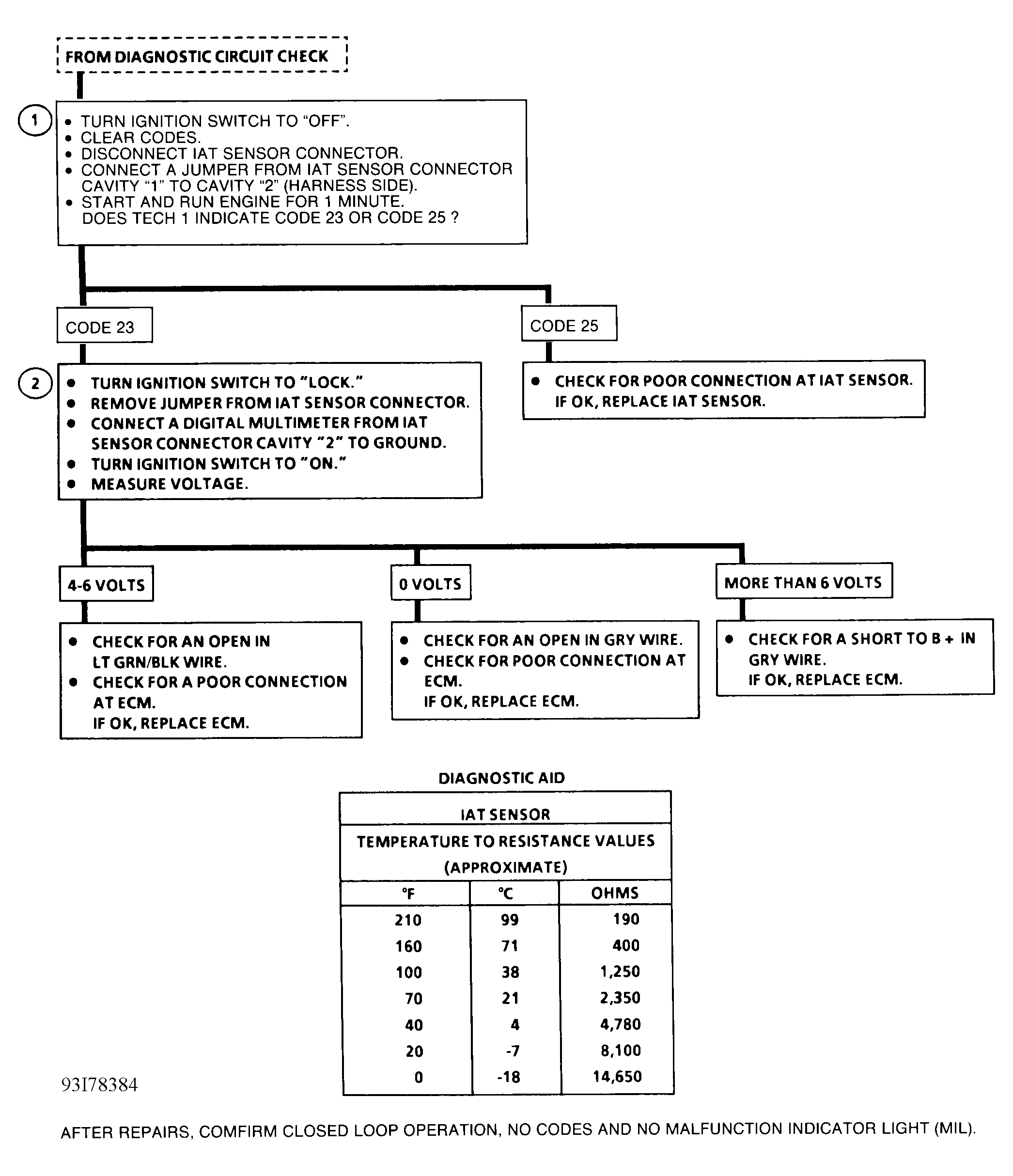
When replacing IAT sensor, refer to TEMPERATURE TO RESISTANCE VALUES table. A "shifted" sensor could result in poor driveability complaints.

Fig 1: Code 23 Schematic Intake Air Temperature Sensor CKT, Low Temperature Indicated
G92J26285
Fig 2: Code 23 Flow Chart Intake Air Temperature Sensor CKT, Low Temperature Indicated
G93I78384