LEMON Manuals: Even more car manuals for everyone
Home >> Geo >> 1993 >> Metro Base, 2D Hatchback, Automatic >> Repair and Diagnosis >> Engine Performance >> System >> Engine Controls - Tests W/Codes >> Diagnostic Code Charts >> Code 25, IAT Sensor Circuit, High Temperature Indicated >> Diagnostic Aids

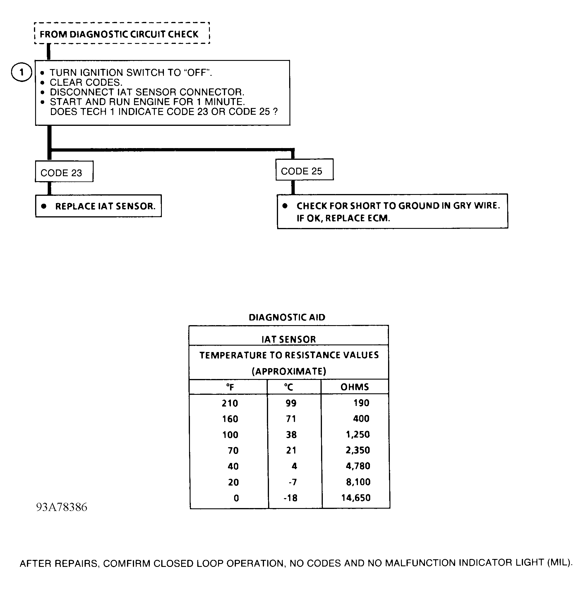
Diagnostic Aids

When replacing IAT sensor, refer to TEMPERATURE TO RESISTANCE VALUES table to evaluate possibility of a "shifted" sensor. A "shifted" sensor could result in poor driveability complaints. For IAT sensor specification, refer to I - SYS/COMP TESTS article in this section.

Fig 1: Code 25 Schematic Intake Air Temperature Circuit, High Temperature Indicated
G92J26285
Fig 2: Code 25 Flow Chart Intake Air Temperature Circuit, High Temperature Indicated
G93A78386