LEMON Manuals: Even more car manuals for everyone
Home >> Geo >> 1993 >> Metro Base, 2D Hatchback, Automatic >> Repair and Diagnosis >> Engine Performance >> System >> Engine Controls - Tests W/Codes >> Diagnostic Code Charts >> Code 14, ECT Sensor CKT, Low Temperature Indicated >> Diagnostic Aids

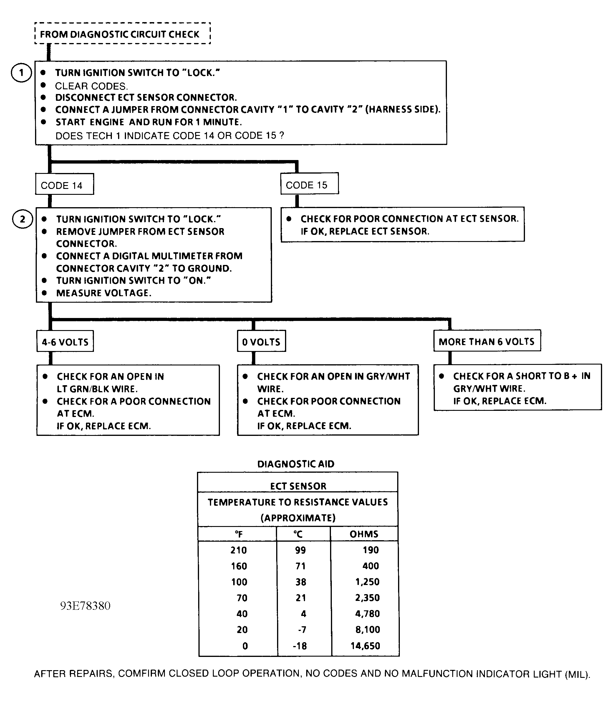
Diagnostic Aids

After engine is started, temperature should rise steadily to about 203°F (95°C) and stabilize when thermostat opens.

Codes 14, 23 and 32 set at the same time could be a result of an open in Light Green/Black sensor ground wire.

When replacing ECT sensor, check TEMPERATURE TO RESISTANCE VALUES table. A "shifted" sensor could result in driveability complaints.

Fig 1: Code 14 Schematic ECT Sensor Circuit, Low Temperature Indicated
G93H78375
Fig 2: Code 14 Flow Chart ECT Sensor Circuit, Low Temperature Indicated
G93E78380