LEMON Manuals: Even more car manuals for everyone
Home >> Geo >> 1991 >> Storm Base, 2D Hatchback, Standard >> Repair and Diagnosis >> Engine Performance >> System >> Engine Controls - Tests W/Codes >> Diagnostic Code Charts >> Code 42, Electronic Spark Timing

Code 42, Electronic Spark Timing

When engine speed is less than 400 RPM, the ignition module controls ignition timing. When engine speed is greater than 400 RPM, ECM applies 5 volts to the by-pass line, switching ignition timing control over to ECM.

When system is running on the ignition module (no voltage on by-pass line), the ignition module grounds the Electronic Spark Timing (EST) signal. The ECM expects to see no voltage on the EST line during this condition. If the ECM sees a voltage signal, it sets Code 42 and will not go into EST mode.

When RPM for EST is reached (about 400 RPM), and voltage is applied on the by-pass line, EST should no longer be grounded in the ignition module, thus EST voltage should be varying. If the by-pass line is open or grounded, the ignition module will not switch to EST. The EST voltage would be low, setting Code 42.

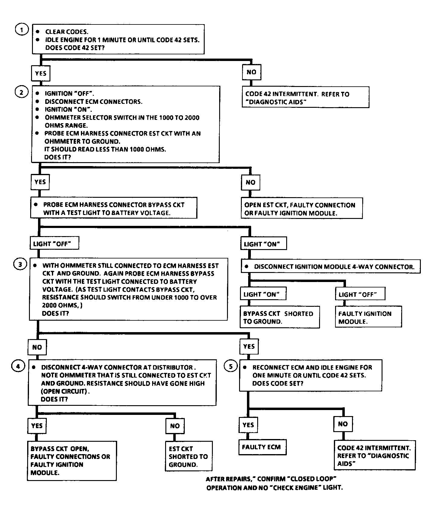
NOTE: Test numbers refer to test numbers on diagnostic chart.
  1. Code 42 indicates ECM has detected an open or short to ground in the EST or by-pass circuit. This confirms that Code 42 and fault causing the code exist.
  2. Checks for normal EST ground path through the ignition module. An EST Yellow wire shorted to ground will also read less than 500 ohms.
  3. As the test light voltage touches Yellow/Green wire, the module should switch, causing an overrange if ohmmeter is in the 1000-2000 ohm scale. Setting ohmmeter in the 10,000-20,000 ohms scale will give a reading more than 5000 ohms. Ensure module switches.
  4. If module does not switch, check for shorted EST Yellow wire, open by-pass Yellow/Green wire, faulty ignition module connection or faulty module.
  5. This confirms Code 42 is caused by a faulty ECM, not an intermittent problem in Yellow or Yellow/Green wire.
Fig 1: Code 42, Flow Chart, Electronic Spark Timing
G91I17002Courtesy of GENERAL MOTORS CORP.
Fig 2: Code 42, Schematic, Electronic Spark Timing
G91H17001Courtesy of GENERAL MOTORS CORP.