LEMON Manuals: Even more car manuals for everyone
Home >> Geo >> 1991 >> Storm Base, 2D Hatchback, Standard >> Repair and Diagnosis >> Engine Performance >> System >> Engine Controls - Basic Testing >> Chart A-7, Fuel System Pressure Test >> Diagnostic Aids

Diagnostic Aids

Improper fuel pressure may cause the following: engine cranks but will not start, engine cuts out, hesitation, loss of power, and Codes 44 and 45 may be set.

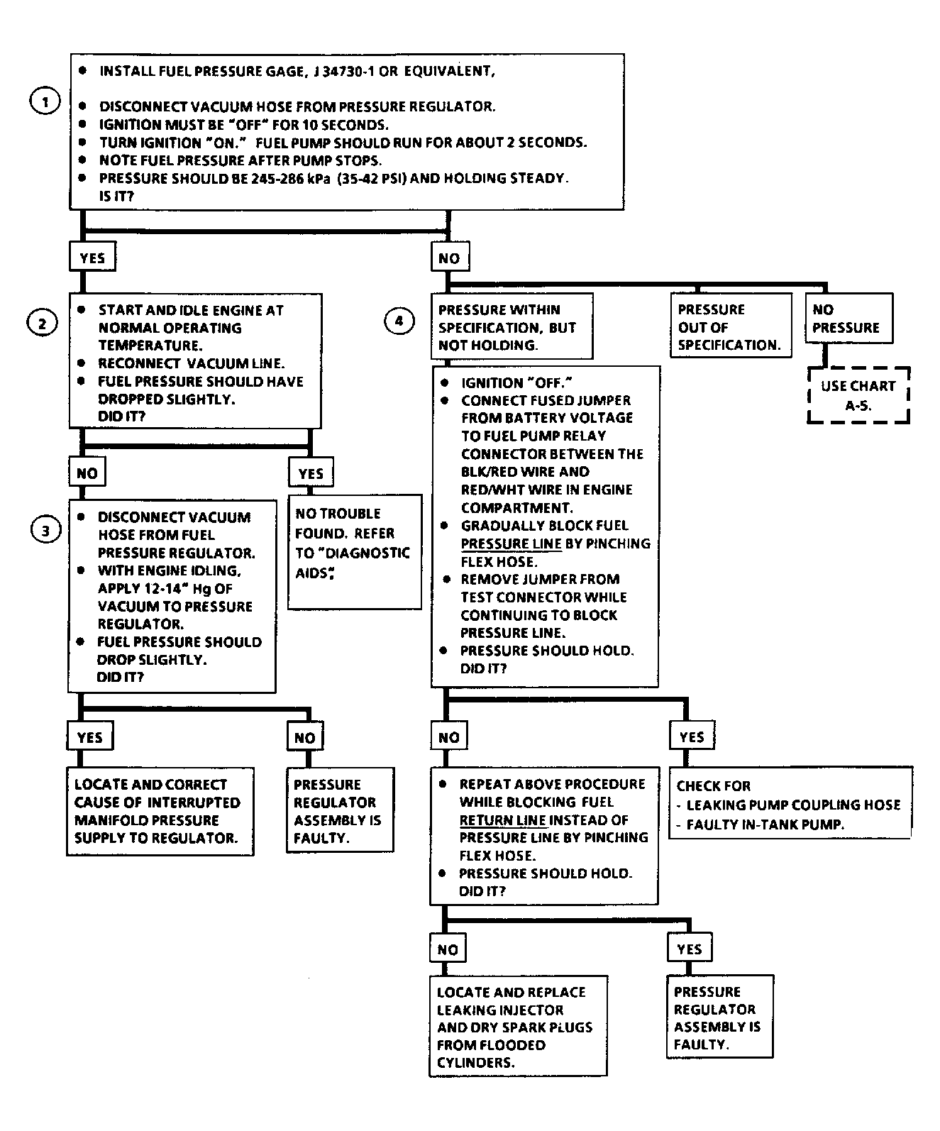
Fig 1: Chart A-7, Fuel System Pressure Test (1 of 2)
G91C16776Courtesy of GENERAL MOTORS CORP.
Fig 2: Chart A-7, Fuel System Pressure Test (2 of 2)
G91D16777Courtesy of GENERAL MOTORS CORP.