LEMON Manuals: Even more car manuals for everyone
Home >> Geo >> 1990 >> Tracker Base, Standard >> Repair and Diagnosis >> Engine Performance >> System >> Engine Controls - Tests W/Codes >> Diagnostic Code Charts >> Code 23, Manifold Air Temperature (Mat) Sensor Circuit Low Temperature Indicated

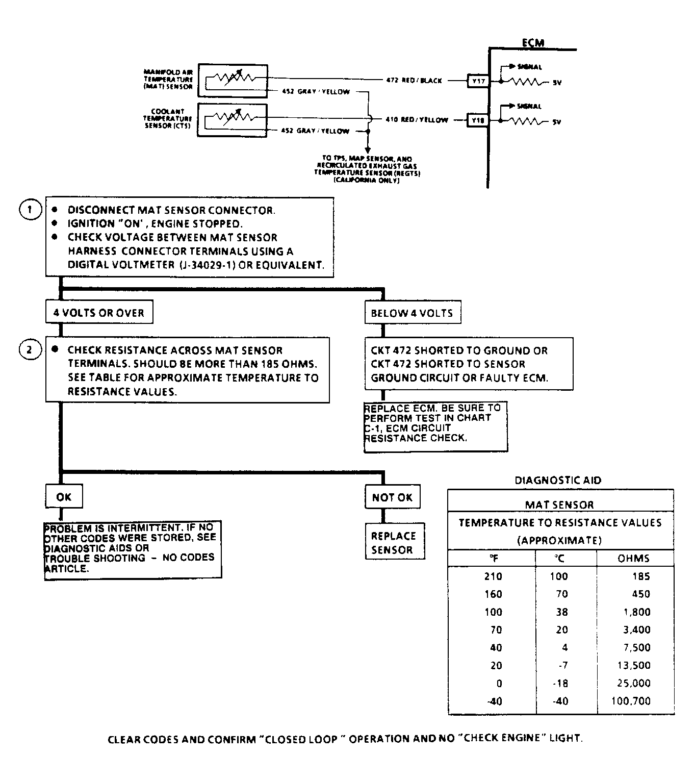
Code 23, Manifold Air Temperature (Mat) Sensor Circuit Low Temperature Indicated

MAT sensor uses a thermistor to control signal voltage to the ECM. The ECM applies 4-6 volts on circuit No. 472 to the sensor. When manifold air is cold, sensor resistance is high, this means ECM sees high signal voltage. As air temperature warms, sensor resistance becomes less and voltage drops.

NOTE: Test numbers refer to test numbers on diagnostic chart.
  1. Code 23 sets if signal voltage indicates manifold air temperature is less than -31°F (-35°C), engine has run for one minute or longer and vehicle is not moving. This code sets from an open sensor, wire or connection. This test determines if ECM and wiring are okay.
  2. If resistance is more than 25,000 ohms, replace sensor.
Fig 1: Code 23 Circuit Diagram & Flow Chart
G121694