LEMON Manuals: Even more car manuals for everyone
Home >> Geo >> 1990 >> Tracker Base, Automatic >> Repair and Diagnosis >> Engine Performance >> System >> Engine Controls - Tests W/Codes >> Diagnostic Code Charts >> Code 15, Coolant Temperature Sensor (Cts) Circuit High Temperature Indicated >> Diagnostic Aids

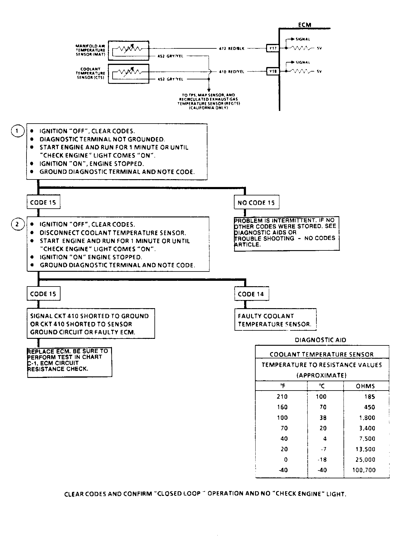
Diagnostic Aids

Check vehicle wiring harness for a potential short to ground in circuit No. 410 (Red/Yellow wire). After engine is started, the temperature should rise steadily to approximately 203°F (95°C), then level off when thermostat opens.

Ensure engine is not overheating or has been subjected to conditions which causes engine to run too hot such as trailer towing. See COOLANT TEMPERATURE SENSOR TEMPERATURE TO RESISTANCE VALUES table to diagnose a shifted sensor which could cause poor driveability. If code is intermittent, refer to TESTS W/O CODES article.

Fig 1: Code 15 Circuit Diagram & Flow Chart
G121691