LEMON Manuals: Even more car manuals for everyone
Home >> Geo >> 1990 >> Tracker Base, Automatic >> Repair and Diagnosis >> Engine Performance >> System >> Engine Controls - Tests W/Codes >> Diagnostic Code Charts >> Code 14, Coolant Temperature Sensor (Cts) Circuit Low Temperature Indicated >> Diagnostic Aids

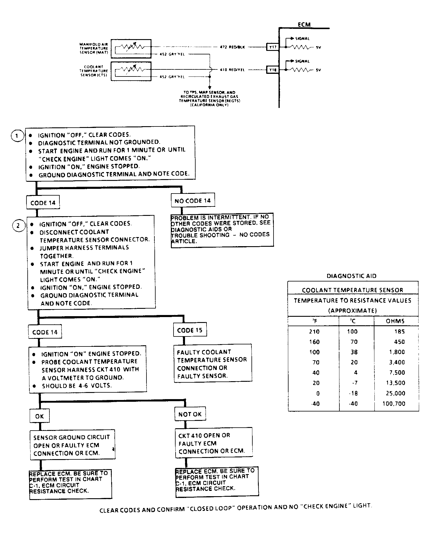
Diagnostic Aids

After engine is started, the temperature should rise steadily to approximately 203°F (95°C) then level off when thermostat opens.

If Codes 15 and 21 are stored at the same time, there could be an open in circuit No. 452. See COOLANT TEMPERATURE SENSOR TEMPERATURE TO RESISTANCE VALUES table to diagnose an out-of-calibration sensor which could cause poor driveability. If code is intermittent, refer to TESTS W/O CODES article.

Fig 1: Code 14 Circuit Diagram & Flow Chart
G121690