LEMON Manuals: Even more car manuals for everyone
Home >> Geo >> 1990 >> Storm Base, Automatic, F3A/MX1 >> Repair and Diagnosis >> Engine Performance >> System >> Engine Controls - Tests W/Codes >> Code 23A, Manifold Air Temperature (Mat) Sensor Circuit Low Temperature Indicated >> Diagnostic Aids

Diagnostic Aids

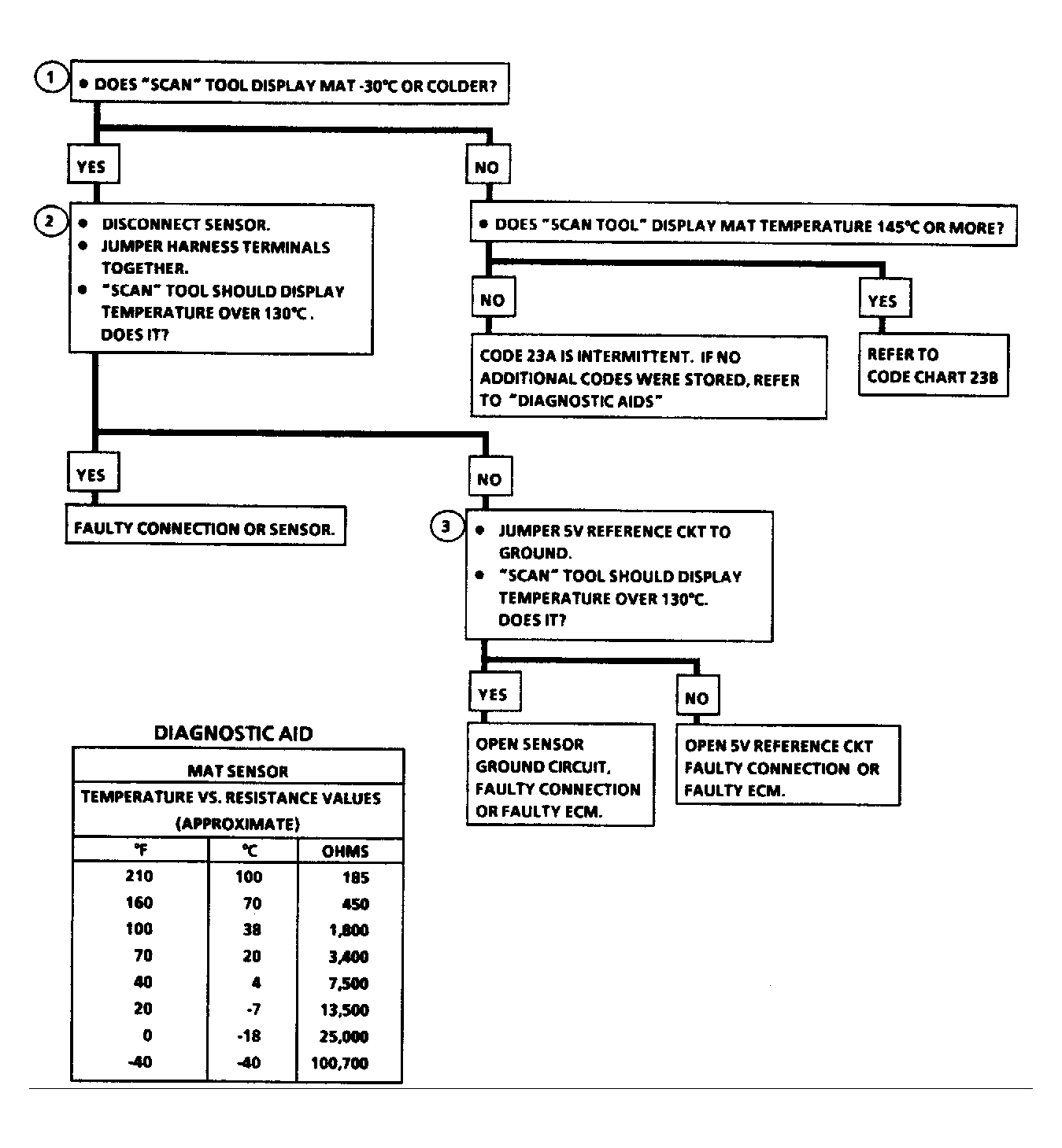
When the engine cools to ambient temperature or sits overnight, CTS and MAT sensor resistance or temperature may be checked with a Scan tester and readings should be close to each other. A Code 23A appears if Purple/Black wire or Black/White wire is open. If code is intermittent, see TESTS W/O CODES article.

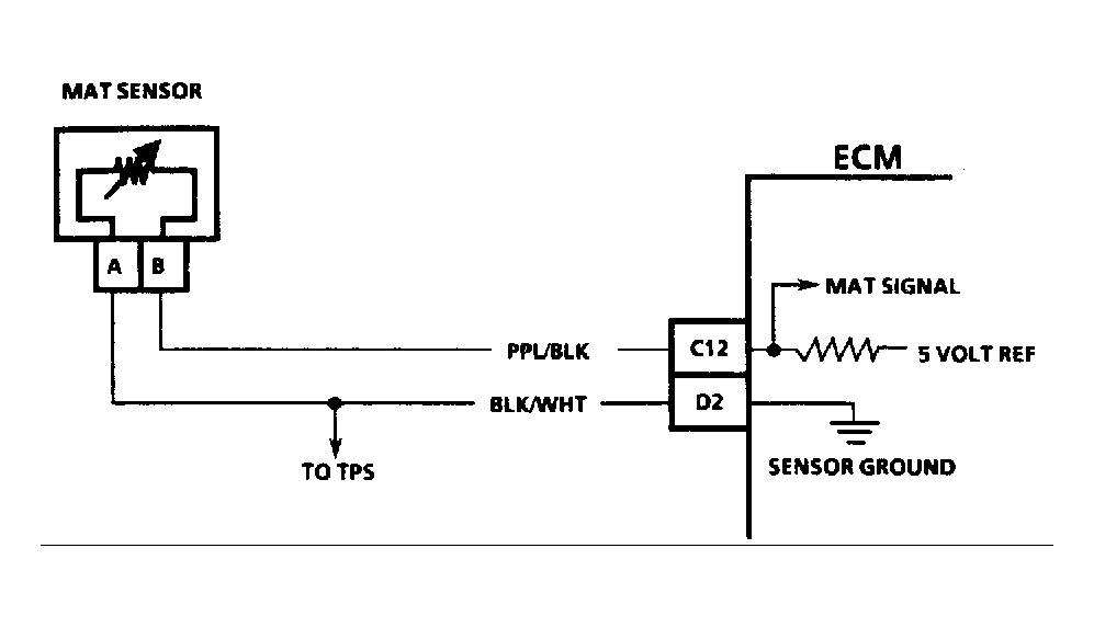
Fig 1: Code 23A Circuit Diagram
G90H15831
Fig 2: Code 23A Flow Chart
G90I15832