LEMON Manuals: Even more car manuals for everyone
Home >> Geo >> 1989 >> Tracker Base, Standard >> Repair and Diagnosis >> Engine Performance >> System >> Tests W/Codes >> A8, Control Relay Circuit >> Chart A-8, Control Relay Circuit Check

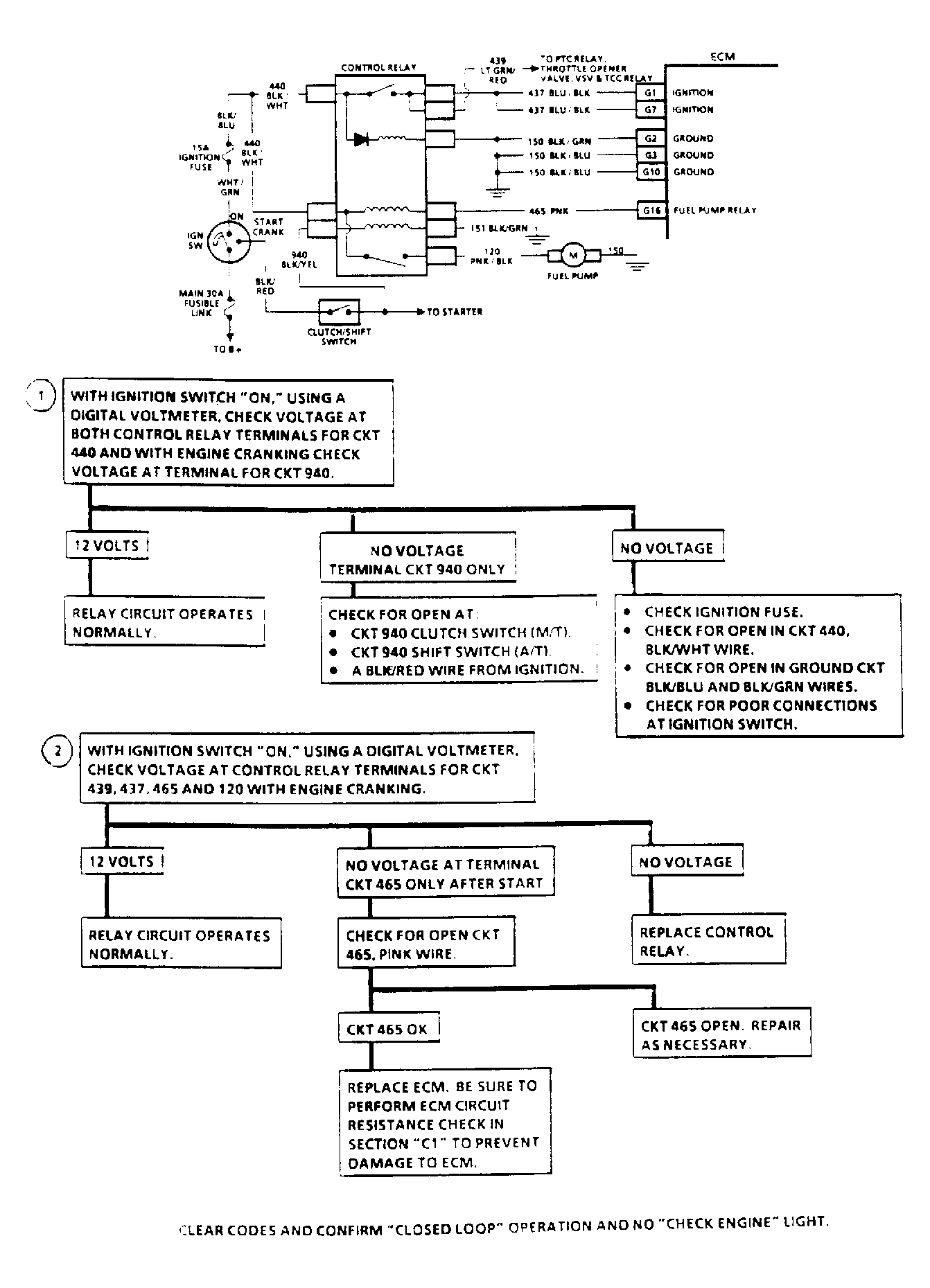
Chart A-8, Control Relay Circuit Check

Control relay is involved in many of the circuit that ECM uses to control the starting of the vehicle. Fuel pump circuit and starter operation depends on function of control relay.

NOTE: Test numbers refer to test numbers on diagnostic chart.
  1. Test checks on ignition side of control relay.
  2. Test checks ECM and fuel pump circuit.
Fig 1: Chart A-8, Circuit Wiring Diagram & Flow Chart
G121688Courtesy of GENERAL MOTORS CORP.