LEMON Manuals: Even more car manuals for everyone
Home >> GMC >> 1991 >> Forward Control 7.4 N >> Repair and Diagnosis >> Engine Performance >> System >> Engine Controls - Basic Testing >> Chart A-4, Injector Circuit Diagnosis >> 2.5L >> Test Description

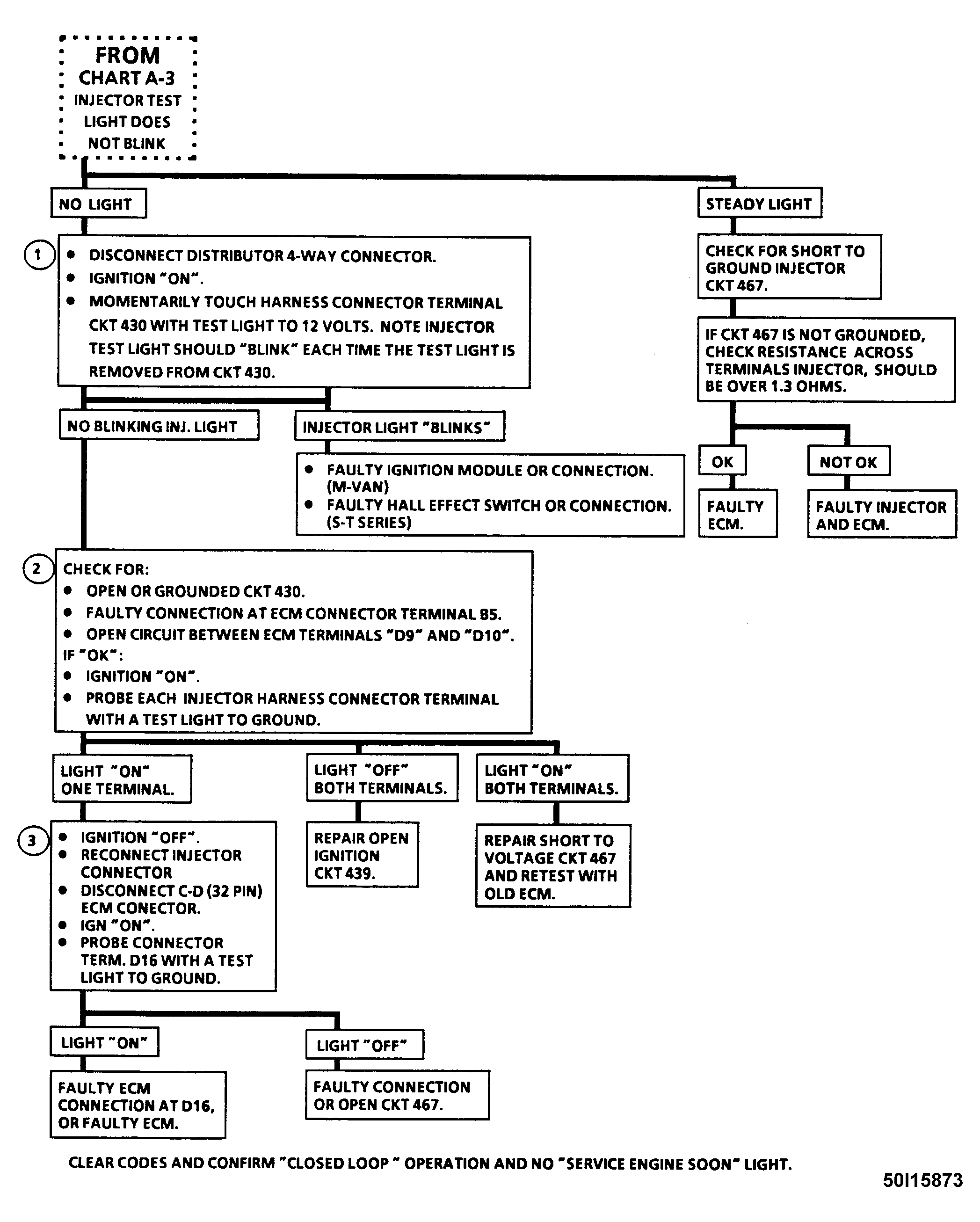
Test Description

  1. This test will determine if ignition module is generating a reference pulse, if wiring is at fault or if ECM is at fault. By touching and removing a test light, connected to 12 volts, to circuit 430, a reference pulse should be generated. If injector test light blinks, ECM and wiring are OK.
  2. This step tests for 12 volts to injector. It will also determine if there is a short to voltage on ECM side of circuit.
  3. This test checks for continuity to ECM.
Fig 1: Chart A-4 Schematic, Injector Circuit Diagnosis (2.5L)
G50H15872Courtesy of GENERAL MOTORS CORP.
Fig 2: Flow Chart A-4, Injector Circuit Diagnosis (2.5L)
G50I15873Courtesy of GENERAL MOTORS CORP.