LEMON Manuals: Even more car manuals for everyone
Home >> GMC >> 1991 >> Forward Control 6.2 J, Automatic >> Repair and Diagnosis >> Engine Performance >> System >> Engine Controls - System/Component Tests >> Idle Air Control (IAC)

Idle Air Control (IAC)

Fig 1: Idle Air Control (IAC) (Except 2.5L & Vehicles w/4L80-E Trans.)
G50C02104Courtesy of GENERAL MOTORS CORP.
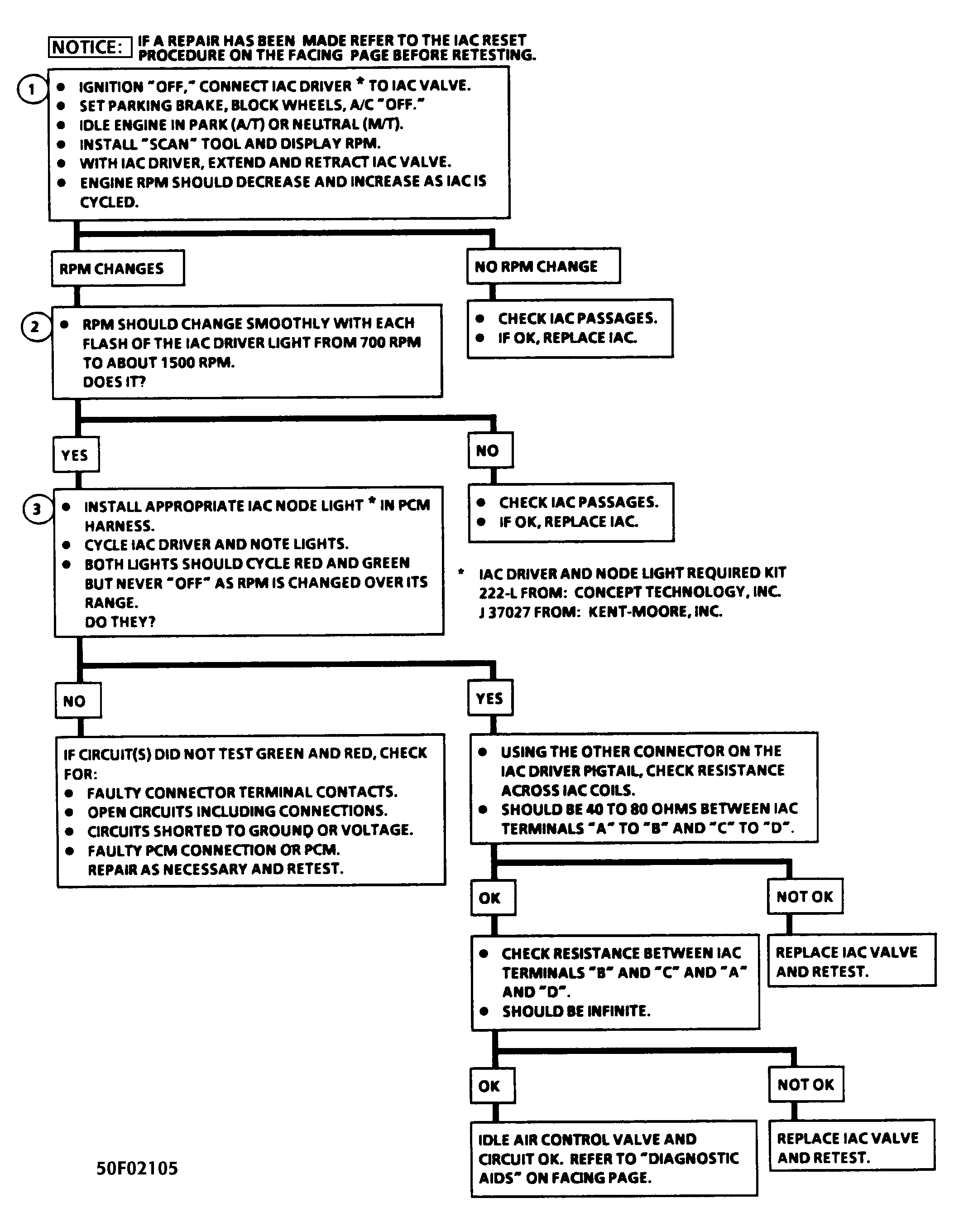
Fig 2: Idle Air Control (IAC) (Vehicles w/4L80-E Trans.)
G50F02105Courtesy of GENERAL MOTORS CORP.