LEMON Manuals: Even more car manuals for everyone
Home >> GMC >> 1991 >> Forward Control 6.2 J, Automatic >> Repair and Diagnosis >> Engine Performance >> System >> Engine Controls - Basic Testing >> Chart A-4, Injector Circuit Diagnosis >> Models With 4L80-E Transmission >> Test Description

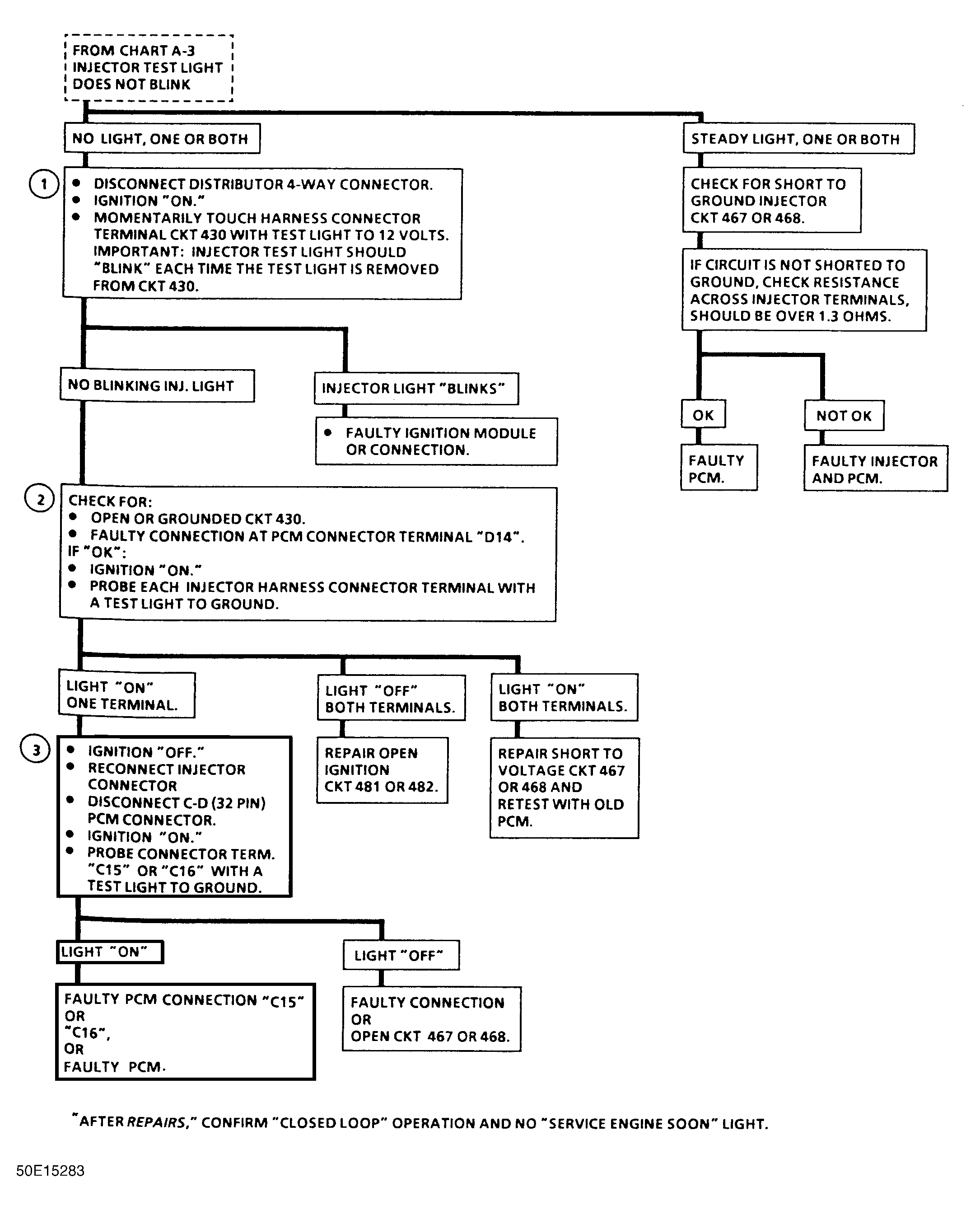
Test Description

  1. This test will determine if the ignition module is generating a reference pulse, if the wiring is at fault or if the ECM is at fault. By touching and removing a test light, connected to 12 volts, to circuit 430, a reference pulse sould be generated. If injector test light blinks, the ECM and wiring are OK.
  2. This step tests for 12 volts to the injector. It will also determine if there is a short to voltage on the ECM side of the circuit.
  3. This test checks for continuity to the ECM. For circuit schematic, See Figure.
Fig 1: Flow Chart A-4, Injector Circuit Diagnosis (4L80-E Equipped Models)
G50E15283Courtesy of GENERAL MOTORS CORP.