LEMON Manuals: Even more car manuals for everyone
Home >> Ford >> 2020 >> Explorer ST >> Repair and Diagnosis (Single Page) >> Accessories & Equipment >> Drivers Assistance Systems - ADAS >> Lane Keeping System >> Description And Operation >> Lane Keeping System - System Operation and Component Description >> System Operation >> System Diagram

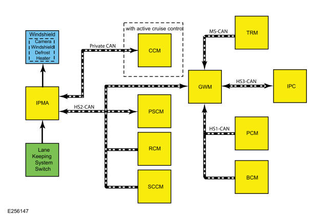
System Diagram

GFD516291Courtesy of FORD MOTOR COMPANY