LEMON Manuals: Even more car manuals for everyone
Home >> Cadillac >> 1995 >> Eldorado Base >> Repair and Diagnosis >> Engine Performance >> System >> Engine Controls - Tests W/Codes >> Pcm Code Charts >> Code P119, Open/Shorted Fuel Injector >> Action

Code P119, Open/Shorted Fuel Injector: Action

Faulty injector disabled for engine run cycle.

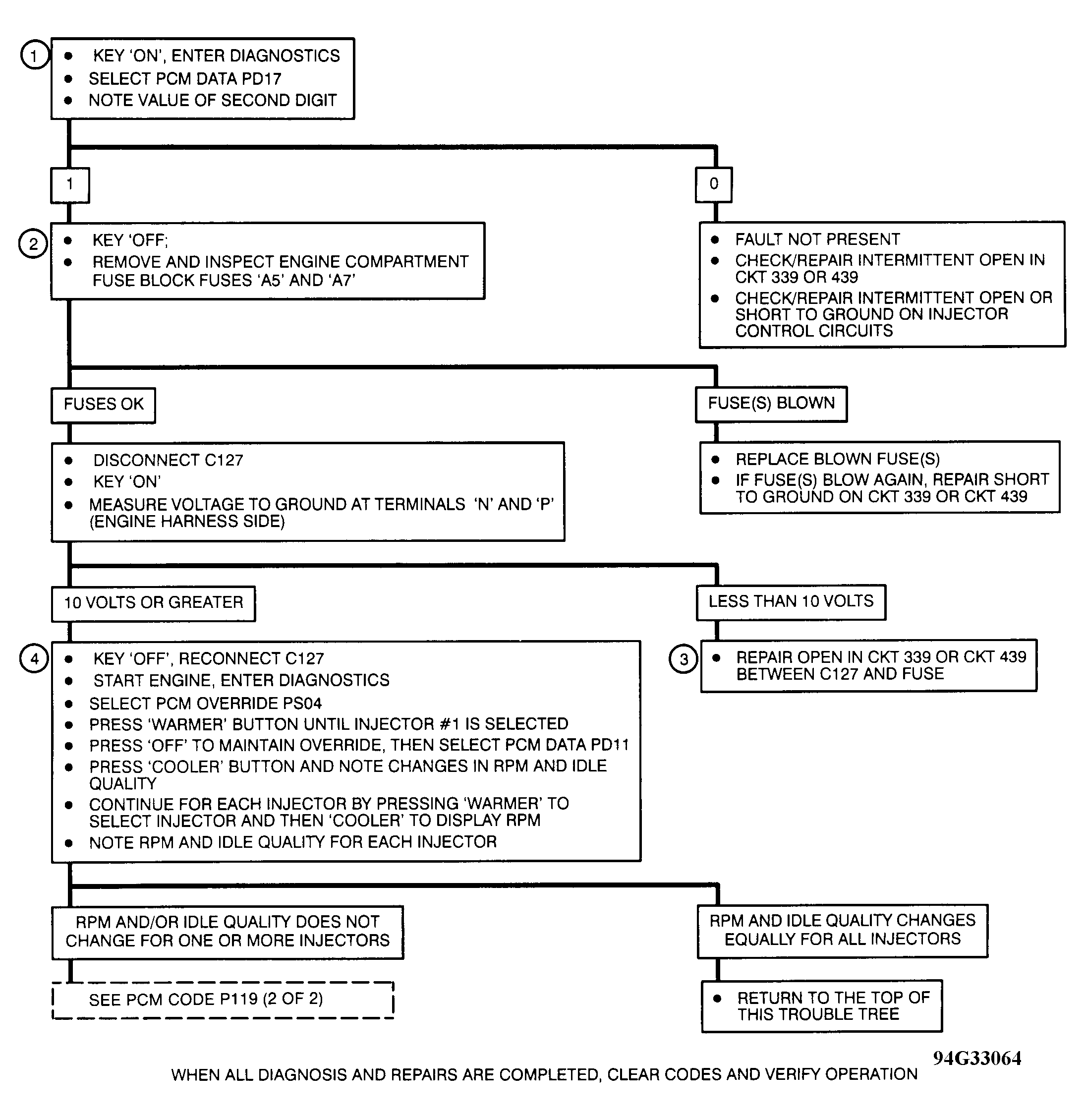
NOTE: Test numbers refer to numbers on diagnostic chart.
  1. Checks for intermittent. If second digit of PD17 is zero, fault is not present. PCM snapshot should show PD17 second digit as "1".
  2. Checks for short to ground on circuit No. 339 or 439.
  3. Open may be caused by poor injector harness connector contact. Check terminal contact.
  4. Use fuel injector override to pinpoint faulty injector circuit. Disabling one injector would normally create a noticeable difference in engine RPM or idle quality.
  5. Checks for open or short to ground in circuit to PCM.
  6. Checks injector resistance at engine temperature when the condition occurs. Injector resistance will normally increase with increasing engine temperature. Normal injector resistance should be 8-25 ohms.
  7. Checks if problem is with injector or fuel rail harness.
  8. Checks if problem is shorted injector or a short in fuel rail harness.
  9. Checks for open or high resistance in fuel injector rail harness or open or high injector resistance.
Fig 1: Code P119 Schematic, Open/Shorted Fuel Injector
G94H32893Courtesy of GENERAL MOTORS CORP.
Fig 2: Code P119 Diagnostic Flow Chart - 1 Of 2, Open/Shorted Fuel Injector
G94G33064Courtesy of GENERAL MOTORS CORP.
Fig 3: Code P119 Diagnostic Flow Chart - 2 Of 2, Open/Shorted Fuel Injector
G94H33065Courtesy of GENERAL MOTORS CORP.