LEMON Manuals: Even more car manuals for everyone
Home >> Cadillac >> 1995 >> Eldorado Base >> Repair and Diagnosis >> Engine Performance >> System >> Engine Controls - Tests W/Codes >> Pcm Code Charts >> Code P030, ISC Rpm Out Of Range >> Note On Intermittents

Note On Intermittents

This code may set due to an intermittently sticking ISC motor.

Fig 1: Code P030 Schematic, ISC RPM Out Of Range
G94F32966Courtesy of GENERAL MOTORS CORP
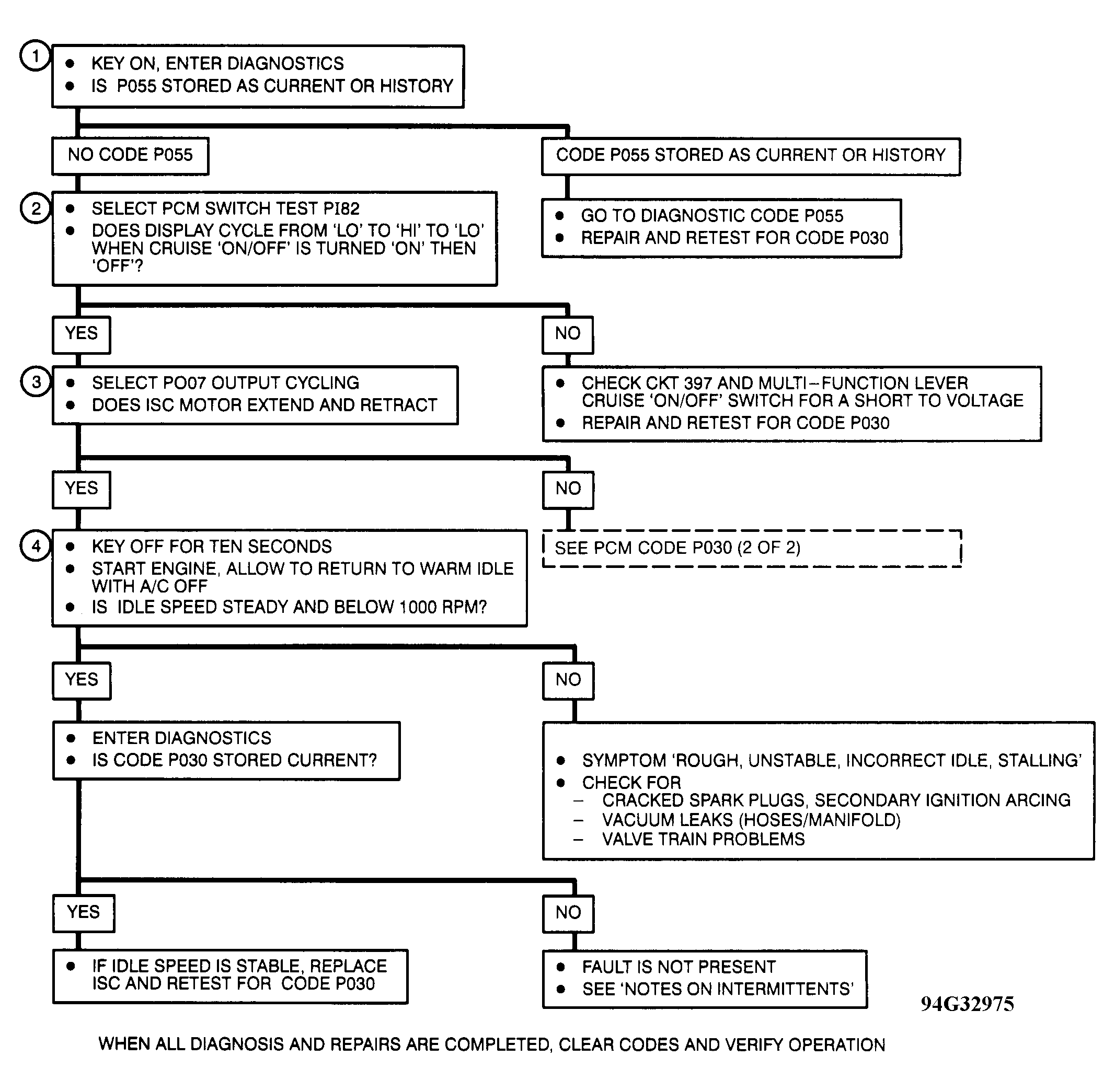
Fig 2: Code P030 Diagnostic Flow Chart - 1 Of 2, ISC RPM Out Of Range
G94G32975Courtesy of GENERAL MOTORS CORP
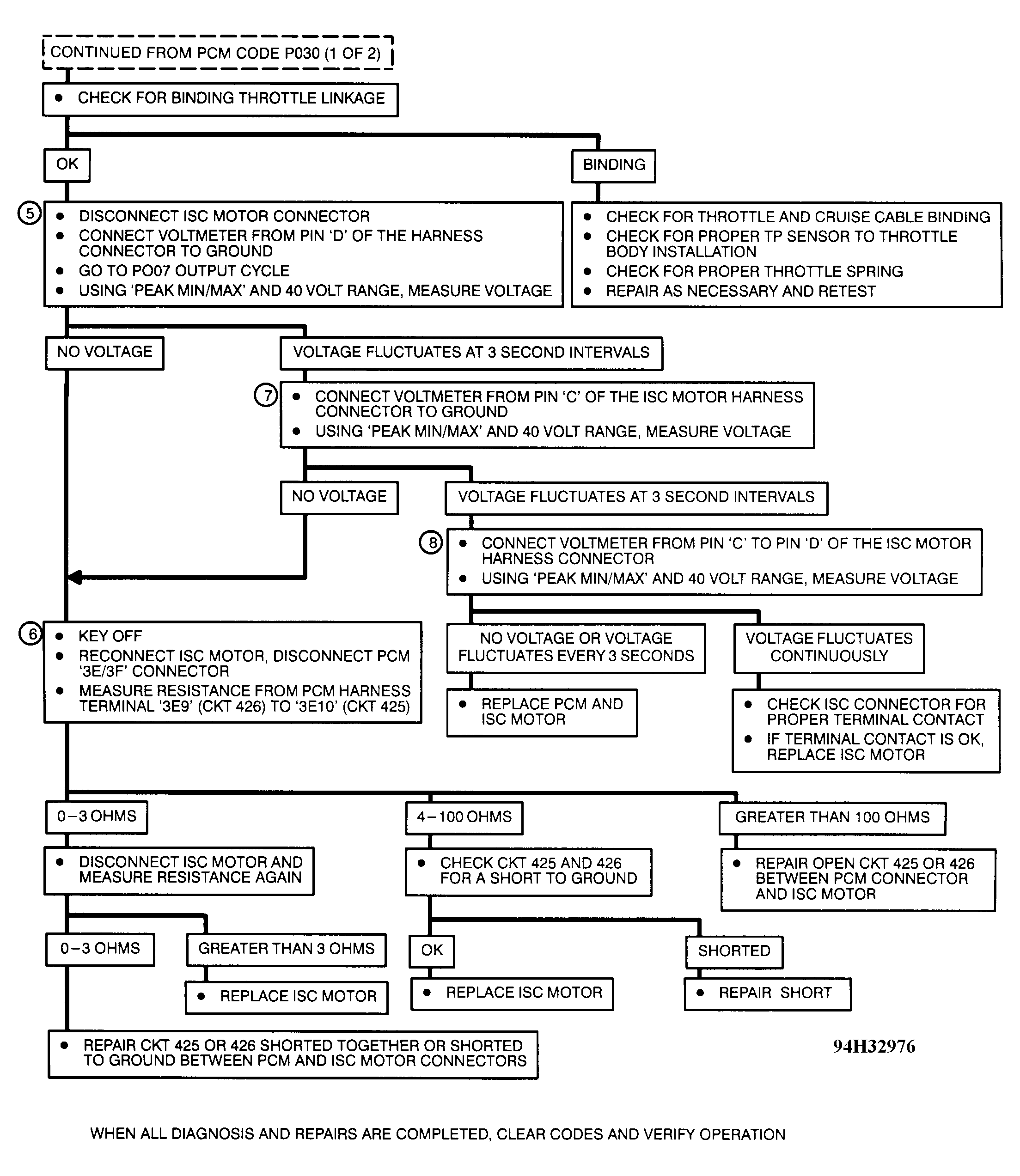
Fig 3: Code P030 Diagnostic Flow Chart - 2 Of 2, ISC RPM Out Of Range
G94H32976Courtesy of GENERAL MOTORS CORP