LEMON Manuals: Even more car manuals for everyone
Home >> Cadillac >> 1992 >> Seville Base >> Repair and Diagnosis >> Engine Performance >> System >> Engine Controls - Tests W/Codes >> Pcm Code Charts >> Pcm Code E045, Right Oxygen (O2) Sensor Rich Signal >> Note On Intermittents

Note On Intermittents

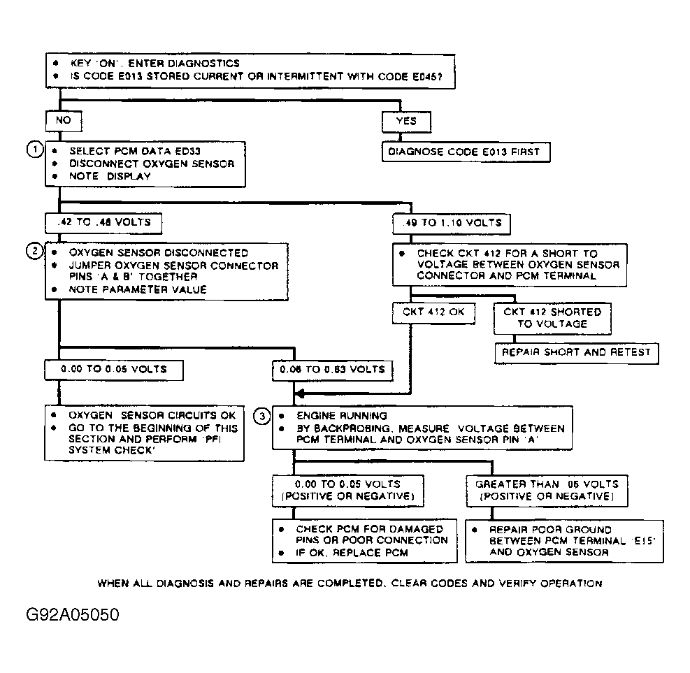
With engine running, manipulate O2 sensor harness, PCM wiring, and connectors while observing PCM parameter ED33. If fault is induced, ED33 will jump to greater than .63 volt and ECON status light will go on. Manipulate circuit No. 413 ground to engine, and look for a loose ground eyelet or ground eyelet installed at wrong location. If O2 sensor circuit is okay or lean engine operation is suspected, perform PFI SELF-DIAGNOSTIC SYSTEM CHECK  . If O2 sensor circuit appears to be okay, go to PFI CHART A-6, OXYGEN (O2) SENSOR TEST  .

Fig 1: PCM Code E045, Schematic, Right Oxygen (O2) Sensor Rich Signal
G92E05014
Fig 2: PCM Code E045, Flow Chart, Right Oxygen (O2) Sensor Rich Signal
G92A05050
Fig 3: PCM Code E045
GB0011199