LEMON Manuals: Even more car manuals for everyone
Home >> Acura >> 1993 >> NSX Standard >> Repair and Diagnosis >> Engine Performance >> System >> Engine Controls - System & Component Testing >> Computerized Engine Controls >> PGM-FI Control System >> Engine Will Not Start

Engine Will Not Start

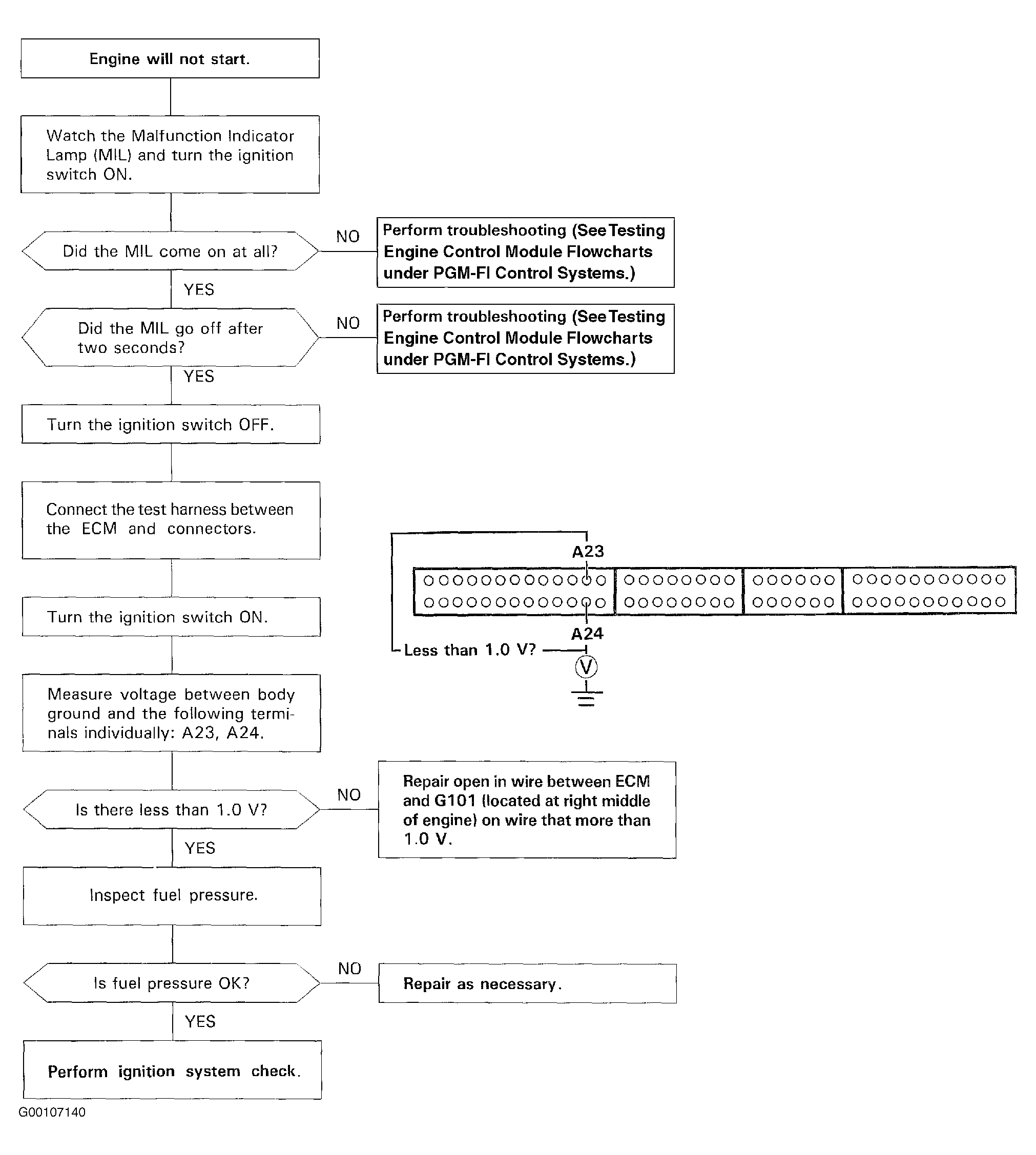
If engine will not start use the troubleshooting flowchart. See Fig 1 .

Fig 1: Engine Will Not Start Diagnostic Flow Chart
G00107140Courtesy of AMERICAN HONDA MOTOR CO., INC.